Open Access

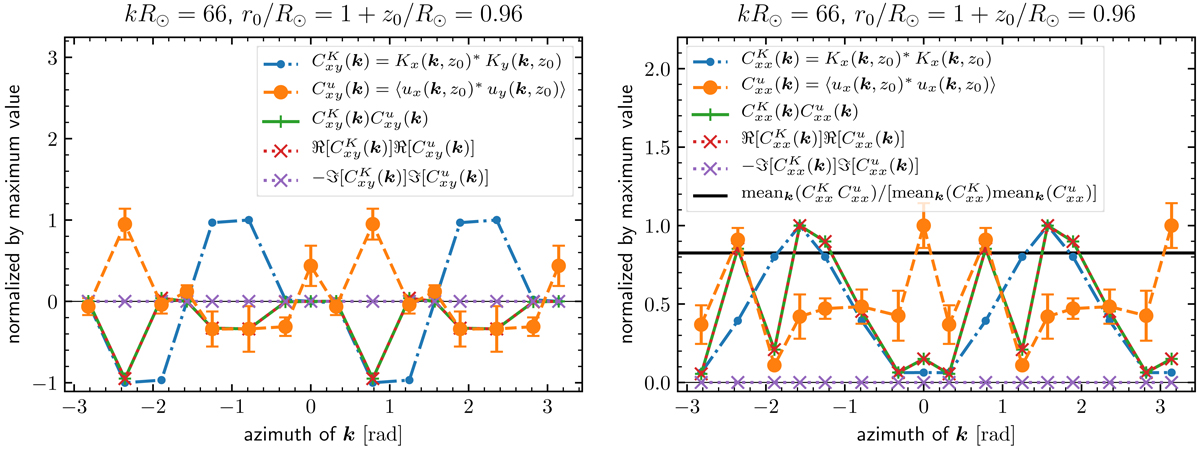
Fig. C.5.

image

Exemplary dependence of kernels and flow correlations on the direction of the horizontal Fourier vector. KLeft panel: , right panel: . For the plot, each quantity was divided by its maximum value in the given range. Error bars of Cu were obtained from the standard deviation of the 11 available simulation snapshots and are similar for CKCu. At other depths and similar wave numbers, the plots are qualitatively similar. Right panel: we also show that taking the mean before or after multiplying and changes the result (thick solid black line).

Current usage metrics show cumulative count of Article Views (full-text article views including HTML views, PDF and ePub downloads, according to the available data) and Abstracts Views on Vision4Press platform.

Data correspond to usage on the plateform after 2015. The current usage metrics is available 48-96 hours after online publication and is updated daily on week days.

Initial download of the metrics may take a while.