Free Access
    
Fig. 6.
 
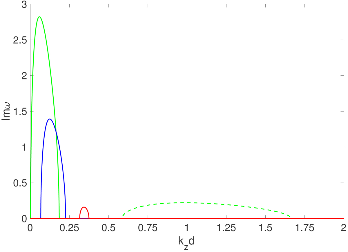
      Growth rate of antisymmetric (kink) mode vs. wave number for modes with two different propagation angles, ky/kz, when flow is directed 45° to the magnetic field, V0y/V0z = 1. The dashed green line corresponds to  for ky/kz = 1, while green, blue, and solid red lines correspond to
 for ky/kz = 1, while green, blue, and solid red lines correspond to  , 5, and 10 respectively, when ky/kz = 10.
, 5, and 10 respectively, when ky/kz = 10.
Current usage metrics show cumulative count of Article Views (full-text article views including HTML views, PDF and ePub downloads, according to the available data) and Abstracts Views on Vision4Press platform.
Data correspond to usage on the plateform after 2015. The current usage metrics is available 48-96 hours after online publication and is updated daily on week days.
Initial download of the metrics may take a while.
