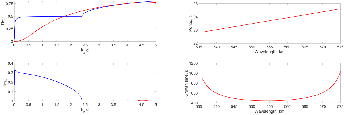
Fig. 7.
 
      Solutions of antisymmetric (kink) mode (Eq. (15)) in the conditions of type I spicules: ρ0/ρe = 100, d = 400 km, V0 = 30 km s−1. Left panels: real (upper) and the imaginary (lower) parts of frequencies, which are normalised by kzV0z. Blue lines show the purely hydrodynamic case (i.e. VA = 0). Red lines show the case when the external Alfvén speed is VA = 200 km s−1. Right panels: periods (upper) and growth times (lower) of unstable harmonics vs. wavelength in the interval of kzd = 4.4−4.7. Here α = 1 and ky, V0y = 0.
Current usage metrics show cumulative count of Article Views (full-text article views including HTML views, PDF and ePub downloads, according to the available data) and Abstracts Views on Vision4Press platform.
Data correspond to usage on the plateform after 2015. The current usage metrics is available 48-96 hours after online publication and is updated daily on week days.
Initial download of the metrics may take a while.
