Free Access
    
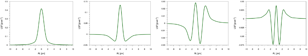
Fig. 2
 
      Mean LSF H0 (left) and the first three basis components H1–H3, used to model the LSF for both telescopes. These are obtained from simulations, with the odd or even symmetry arising from the inclusion of reflected wavefront error maps (see text).
Current usage metrics show cumulative count of Article Views (full-text article views including HTML views, PDF and ePub downloads, according to the available data) and Abstracts Views on Vision4Press platform.
Data correspond to usage on the plateform after 2015. The current usage metrics is available 48-96 hours after online publication and is updated daily on week days.
Initial download of the metrics may take a while.
