Free Access
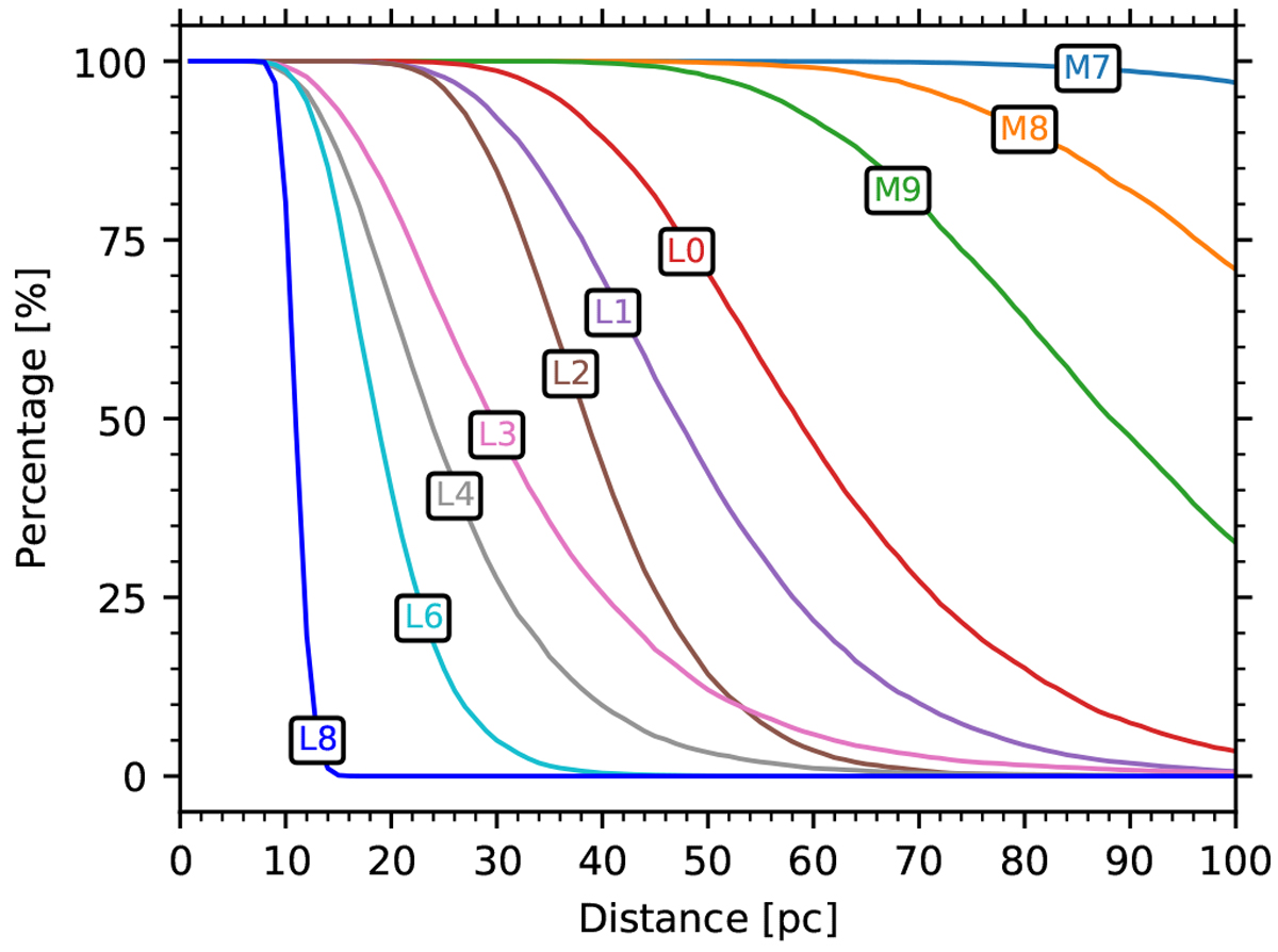
Fig. 26
Simulated completeness per parsec for each spectral type. Each spectral type from M7-L8 (right to left) is labelled next to its respective simulated completeness level. We skip L5 and L7 for better readability.
Current usage metrics show cumulative count of Article Views (full-text article views including HTML views, PDF and ePub downloads, according to the available data) and Abstracts Views on Vision4Press platform.
Data correspond to usage on the plateform after 2015. The current usage metrics is available 48-96 hours after online publication and is updated daily on week days.
Initial download of the metrics may take a while.