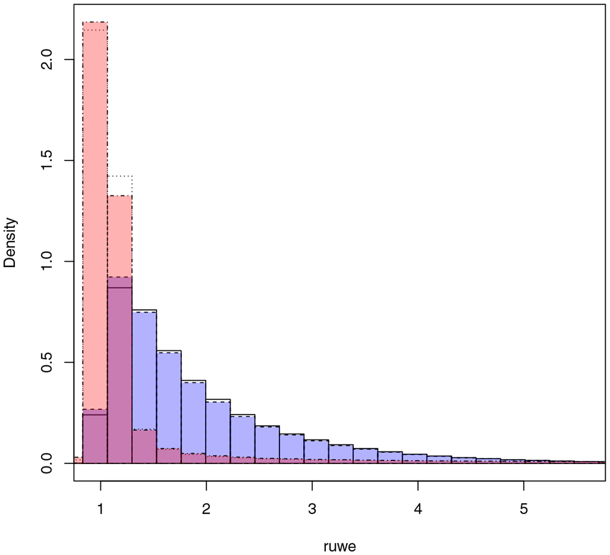
Fig. A.11

image

Distribution of values of the ruwe feature in the set of training examples of the bad category (continuous line, white filling); in the set of training examples of the good category (dotted line, white filling); the set of sources classified as bad astrometric solutions (dashed line, blue transparent filling); and the set of sources classified as good astrometric solutions (dash-dotted line, red transparent filling).

Current usage metrics show cumulative count of Article Views (full-text article views including HTML views, PDF and ePub downloads, according to the available data) and Abstracts Views on Vision4Press platform.

Data correspond to usage on the plateform after 2015. The current usage metrics is available 48-96 hours after online publication and is updated daily on week days.

Initial download of the metrics may take a while.