Free Access
Fig. 7
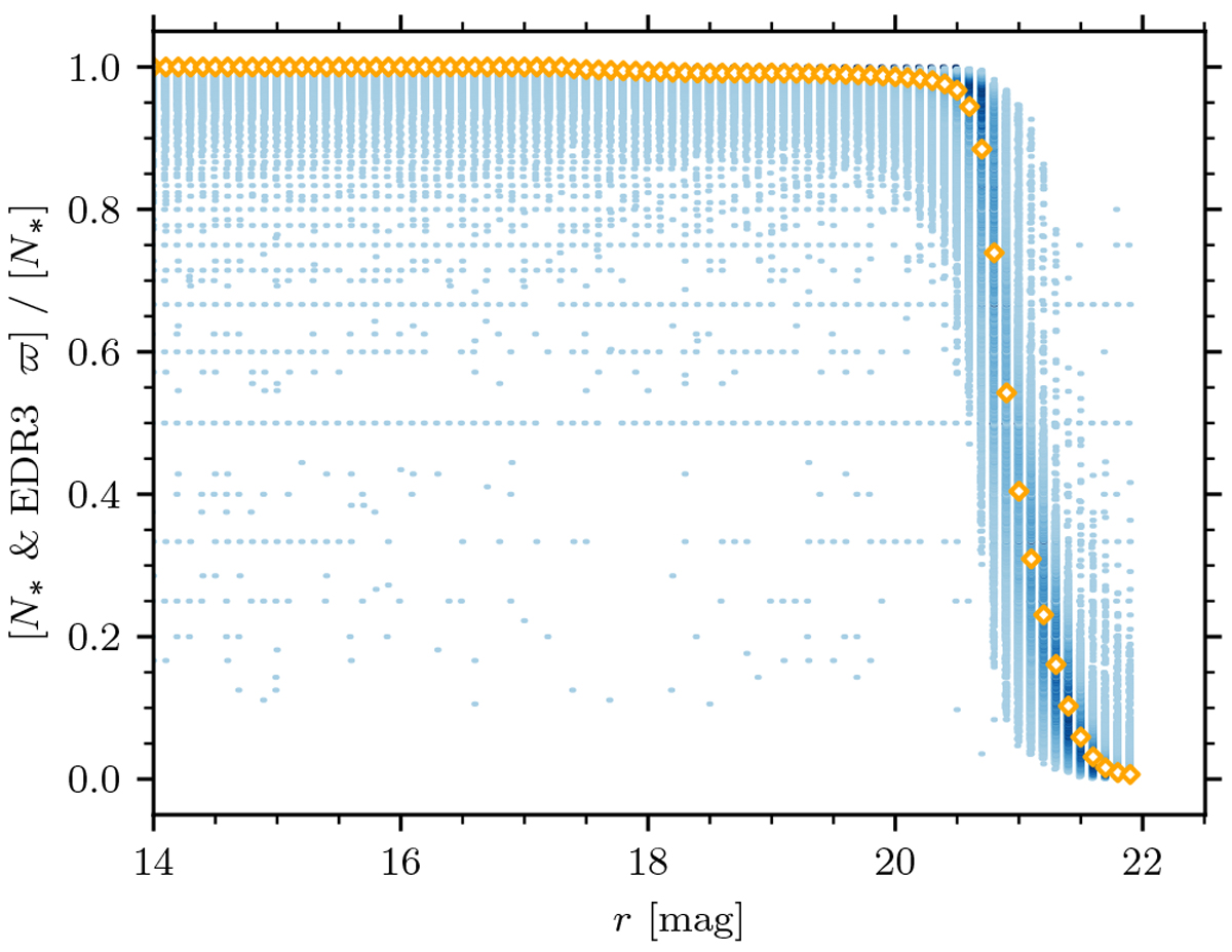
Each point is the ratio of objects classified as stellar in PanStarrs with Gaia EDR3 parallaxes to all objects classified as stellar per level 6 HEALpixel binned in r magnitudes, as discussed in Sect. 4.1.1 The orange diamonds represent the median value for all HEALpixels.
Current usage metrics show cumulative count of Article Views (full-text article views including HTML views, PDF and ePub downloads, according to the available data) and Abstracts Views on Vision4Press platform.
Data correspond to usage on the plateform after 2015. The current usage metrics is available 48-96 hours after online publication and is updated daily on week days.
Initial download of the metrics may take a while.