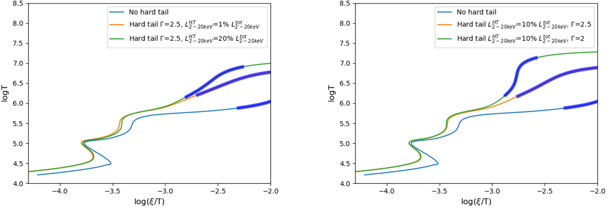
Fig. 3.
 
      Effect of the hard tail on the photoionization stability curves. Application to MJD 55410. Left: hard tails with constant photon indexes Γ = 2.5, but with different fluxes contributing to 1 and 20% of the 2–20 keV flux. Right: hard tails with different photon index (Γ = 2 and 2.5), but a constant flux contributing to 10% of the 2–20 keV flux.
Current usage metrics show cumulative count of Article Views (full-text article views including HTML views, PDF and ePub downloads, according to the available data) and Abstracts Views on Vision4Press platform.
Data correspond to usage on the plateform after 2015. The current usage metrics is available 48-96 hours after online publication and is updated daily on week days.
Initial download of the metrics may take a while.
