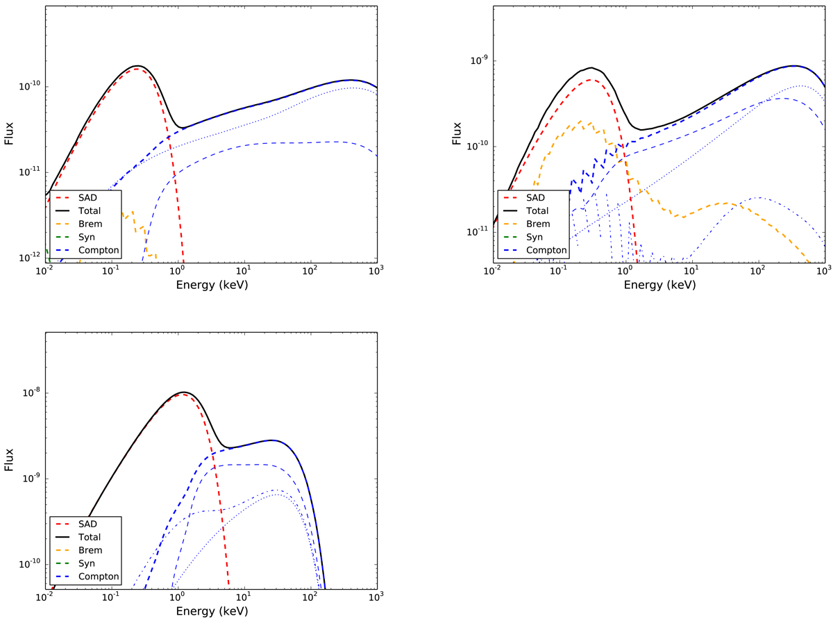
Fig. A.2.
 
      JED-SAD SED for MJD 55617 (top left), 55208 (top right), and 55297 (bottom left). The different radiative processes (bremsstrahlung, synchrotron, and Compton) are plotted in colored, thick dashed lines (see the legends). We have also separated the Compton component in external Compton (thin blue dashed line), comptonized bremsstrahlung (thin blue dot-dashed line), and comptonized synchrotron (thin blue dotted line).
Current usage metrics show cumulative count of Article Views (full-text article views including HTML views, PDF and ePub downloads, according to the available data) and Abstracts Views on Vision4Press platform.
Data correspond to usage on the plateform after 2015. The current usage metrics is available 48-96 hours after online publication and is updated daily on week days.
Initial download of the metrics may take a while.
