Open Access

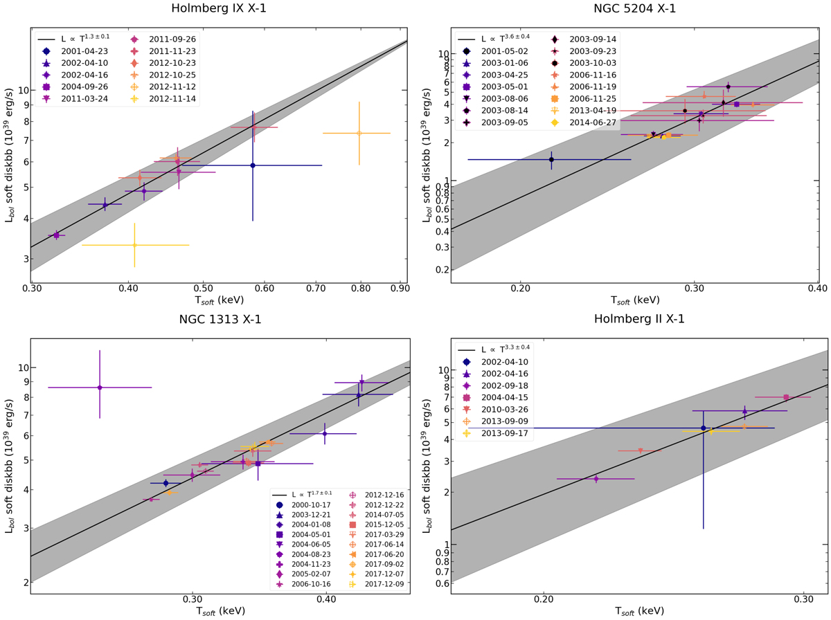
Fig. 7.

image

Examples of sources showing a positive correlation between the soft diskbb component unabsorbed bolometric luminosity and its temperature. The black line shows the best-fit power law with grey shaded areas indicating the 90% confidence interval on the exponent. Symbols are coloured as per Fig. 6. The data have been fitted with the model tbabstbabs⊗ (diskbb + simpldiskbb or tbabstbabs⊗ (diskbb + diskbb)) (see text for details).

Current usage metrics show cumulative count of Article Views (full-text article views including HTML views, PDF and ePub downloads, according to the available data) and Abstracts Views on Vision4Press platform.

Data correspond to usage on the plateform after 2015. The current usage metrics is available 48-96 hours after online publication and is updated daily on week days.

Initial download of the metrics may take a while.