Fig. 6

image

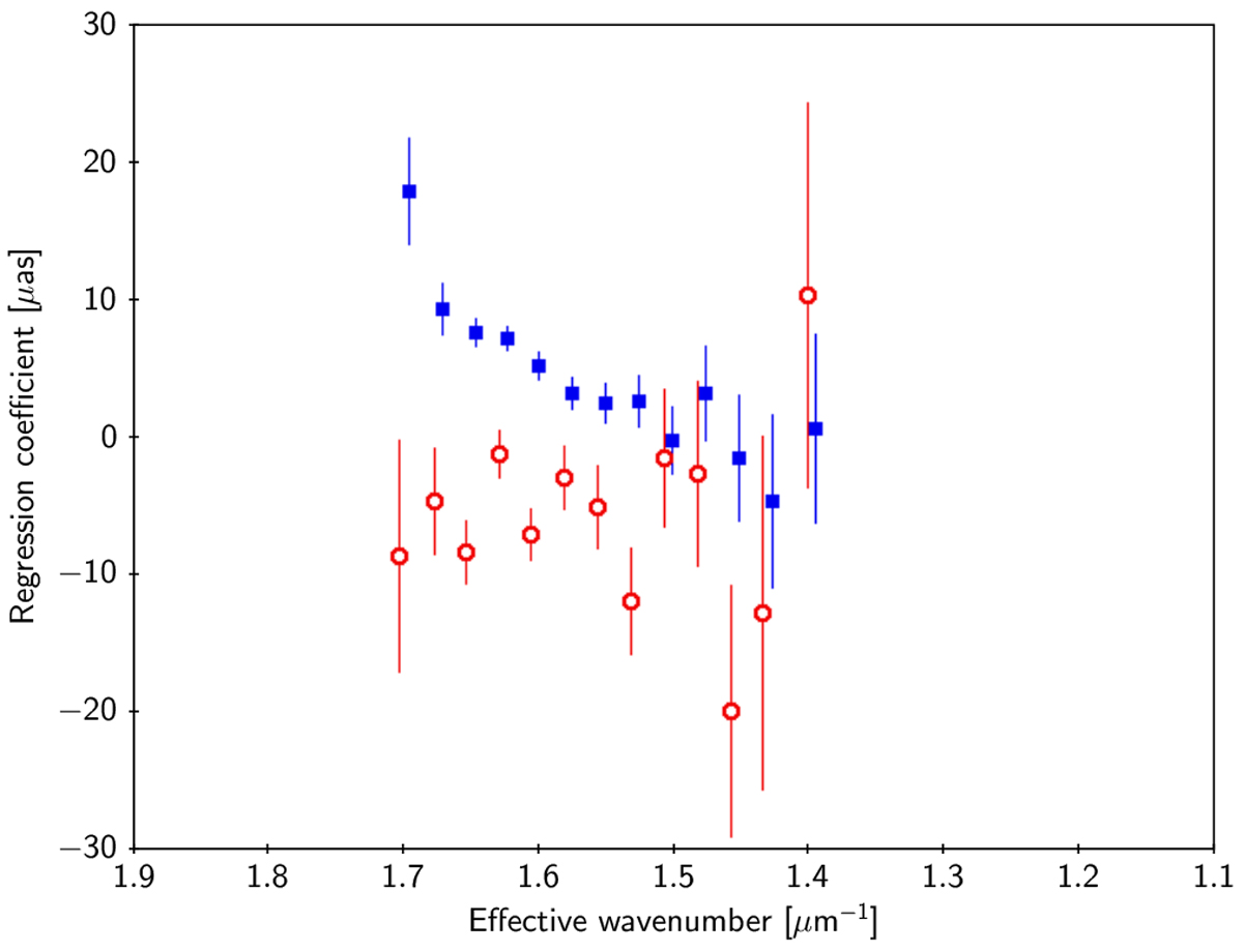
Example of interactions among the dependences of quasar parallaxes on colour and ecliptic latitude. In a quadratic regression of parallax vs. sinβ, the linear coefficient (filled blue squares) exhibits a strong variation with effective wavenumber, while no such trend is shown by the quadratic coefficient (open red circles). The points have been slightly displaced sideways to avoid overlapping error bars.

Current usage metrics show cumulative count of Article Views (full-text article views including HTML views, PDF and ePub downloads, according to the available data) and Abstracts Views on Vision4Press platform.

Data correspond to usage on the plateform after 2015. The current usage metrics is available 48-96 hours after online publication and is updated daily on week days.

Initial download of the metrics may take a while.