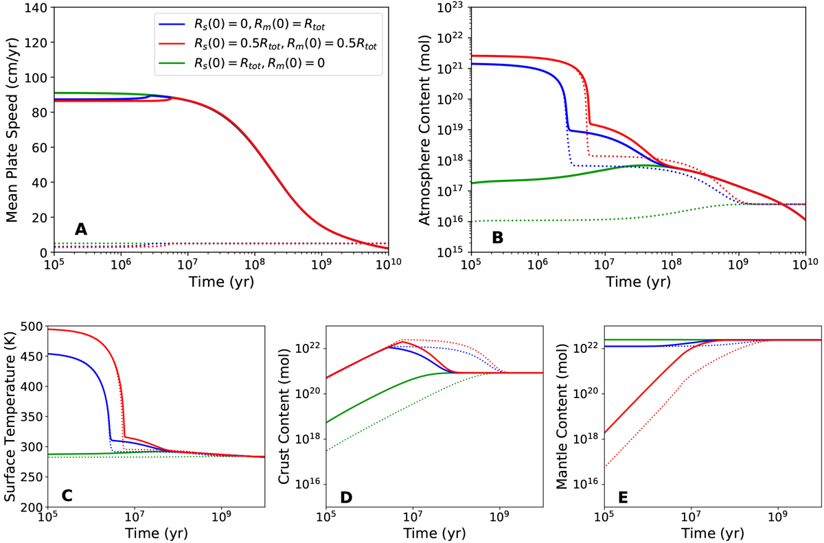
Fig. 6
 
      Evolution of plate speed vp (A), atmosphere reservoir content Ra (B), surface temperature Ts (C), crust reservoir content Rk (D) and mantle reservoir content Rm (E) for different initial distributions of the total carbon budget Rtot over the various reservoirs. Different color depict model runs with different initial surface reservoirs Rs (t = 0) = Ra(t = 0) + Ro(t = 0). Solid lines indicate results from this work, while dotted lines represent results from Foley (2015).
Current usage metrics show cumulative count of Article Views (full-text article views including HTML views, PDF and ePub downloads, according to the available data) and Abstracts Views on Vision4Press platform.
Data correspond to usage on the plateform after 2015. The current usage metrics is available 48-96 hours after online publication and is updated daily on week days.
Initial download of the metrics may take a while.
