Free Access
    
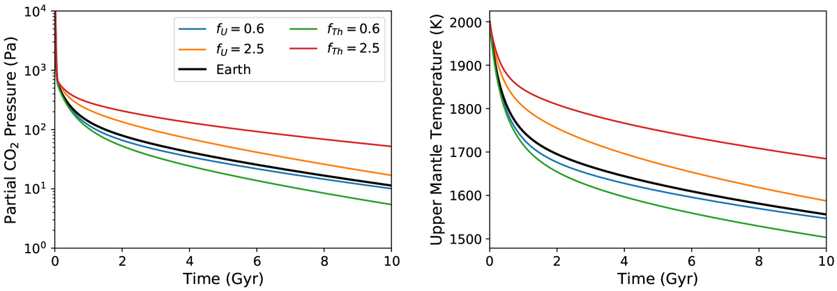
Fig. 7
 
      Evolution of partial CO2 pressure  (left) and upper mantle temperature Tm (right) for different abundances of uranium (235U and 238U) and thorium (232Th). Abundances are expressed relative to Earth (fU = fTh = 1).
(left) and upper mantle temperature Tm (right) for different abundances of uranium (235U and 238U) and thorium (232Th). Abundances are expressed relative to Earth (fU = fTh = 1).
Current usage metrics show cumulative count of Article Views (full-text article views including HTML views, PDF and ePub downloads, according to the available data) and Abstracts Views on Vision4Press platform.
Data correspond to usage on the plateform after 2015. The current usage metrics is available 48-96 hours after online publication and is updated daily on week days.
Initial download of the metrics may take a while.
