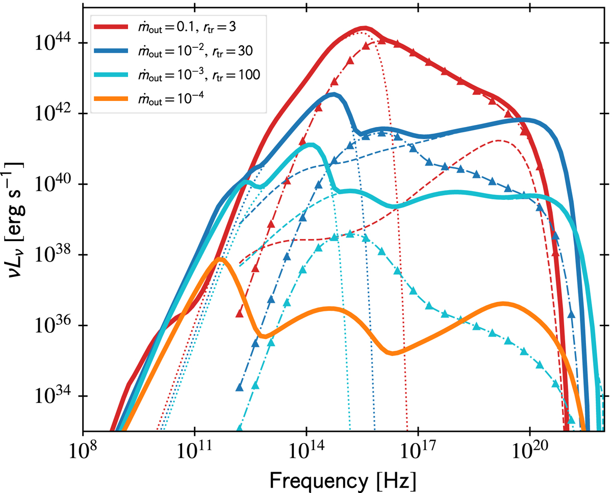
Fig. 2.
 
      Thermal emission from the accretion flow around a supermassive black hole of mass MBH = 108 M⊙ for four different models. In the three flows with highest accretion rate, we show in thin dotted lines the direct emission from the thin disk, in dot-dashed lines with triangle markers the Comptonization of the thin-disk photons, and in dashed lines the Comptonization of the local Synchrotron and Bremsstrahlung photons from the RIAF.
Current usage metrics show cumulative count of Article Views (full-text article views including HTML views, PDF and ePub downloads, according to the available data) and Abstracts Views on Vision4Press platform.
Data correspond to usage on the plateform after 2015. The current usage metrics is available 48-96 hours after online publication and is updated daily on week days.
Initial download of the metrics may take a while.
