Free Access
    
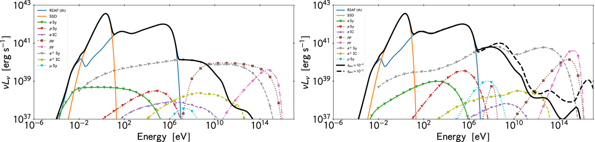
Fig. 9.
 
      Accretion rate: ṁout = 10−2. Left panel: Model C1. Right panel: Models C2 is shown in detail with the individual contributions and the absorbed total emission (solid dark line), and for Model C3 only the absorbed total emission (dashed dark line) is shown.
Current usage metrics show cumulative count of Article Views (full-text article views including HTML views, PDF and ePub downloads, according to the available data) and Abstracts Views on Vision4Press platform.
Data correspond to usage on the plateform after 2015. The current usage metrics is available 48-96 hours after online publication and is updated daily on week days.
Initial download of the metrics may take a while.
