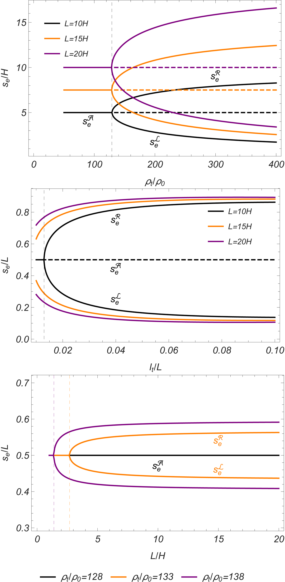
Fig. 3.
 
      Solutions se of Eq. (19) as a function of ρt/ρ0 (top panel), lt/L (middle panel), and L/H (bottom panel). The expression lt = 0.1 H in the top and bottom panels and ρt/ρ0 = 100 in the middle panel. The solid lines correspond to stable solutions and dashed lines to unstable solutions. The thin vertical dashed lines correspond to the bifurcation values that have been calculated by solving Eqs. (19) and (20) simultaneously and coincide with the results in Eq. (32) (top panel), Eq. (33) (middle panel), and Eq. (34) (bottom panel).
Current usage metrics show cumulative count of Article Views (full-text article views including HTML views, PDF and ePub downloads, according to the available data) and Abstracts Views on Vision4Press platform.
Data correspond to usage on the plateform after 2015. The current usage metrics is available 48-96 hours after online publication and is updated daily on week days.
Initial download of the metrics may take a while.
