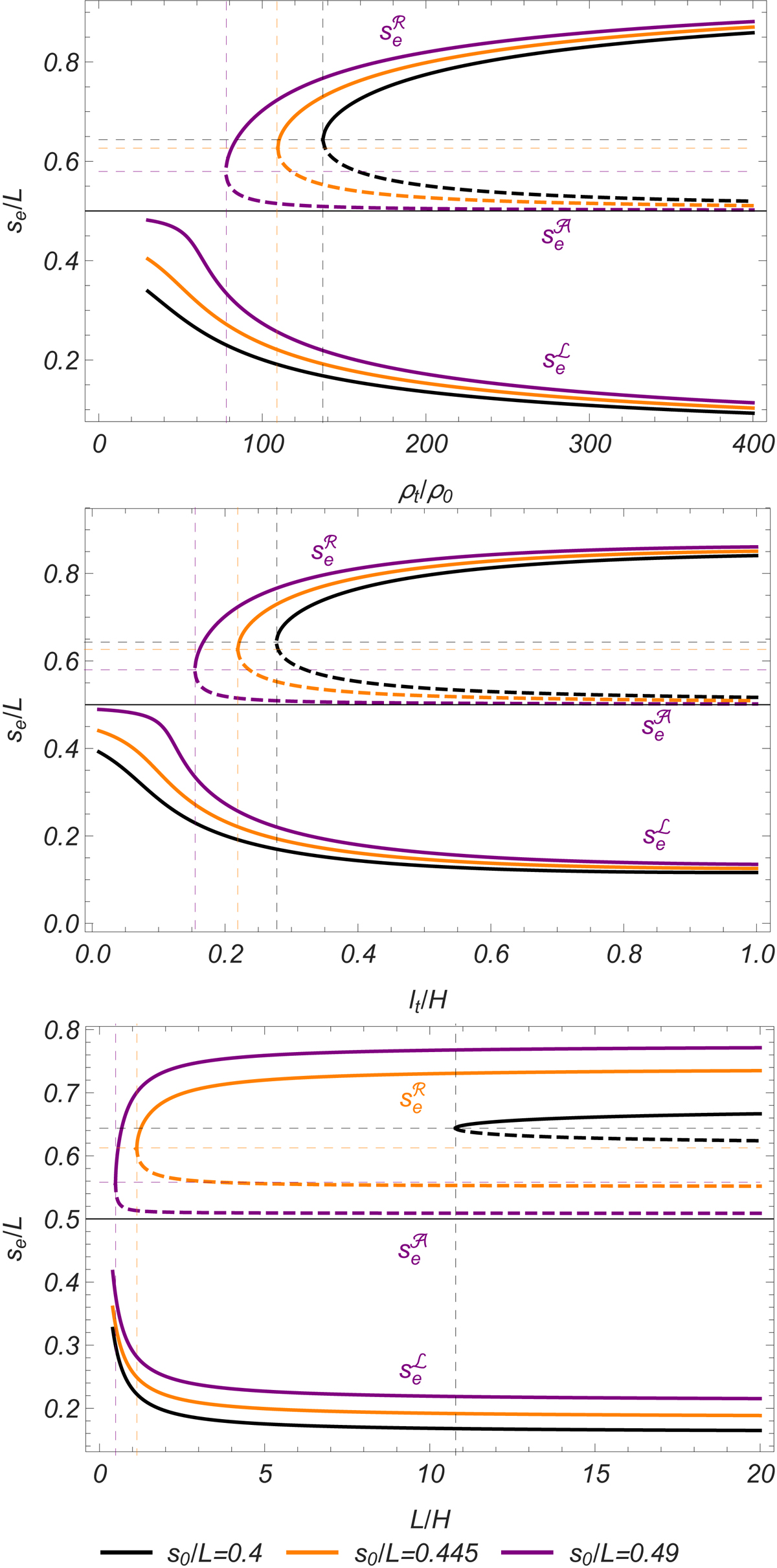
Fig. 5.
 
      Same as Fig. 3 but for Eq. (23) and for different values of s0/L. L = 10 H and lt = 0.2 H (top panel); ρt/ρ0 = 100 and L = 10 H (middle panel); lt = 0.2 H and ρt/ρ0 = 137 (bottom panel). The bifurcation points (intersections between vertical and horizontal thin dashed lines) have been calculated by solving Eqs. (23) and (24) simultaneously.
Current usage metrics show cumulative count of Article Views (full-text article views including HTML views, PDF and ePub downloads, according to the available data) and Abstracts Views on Vision4Press platform.
Data correspond to usage on the plateform after 2015. The current usage metrics is available 48-96 hours after online publication and is updated daily on week days.
Initial download of the metrics may take a while.
