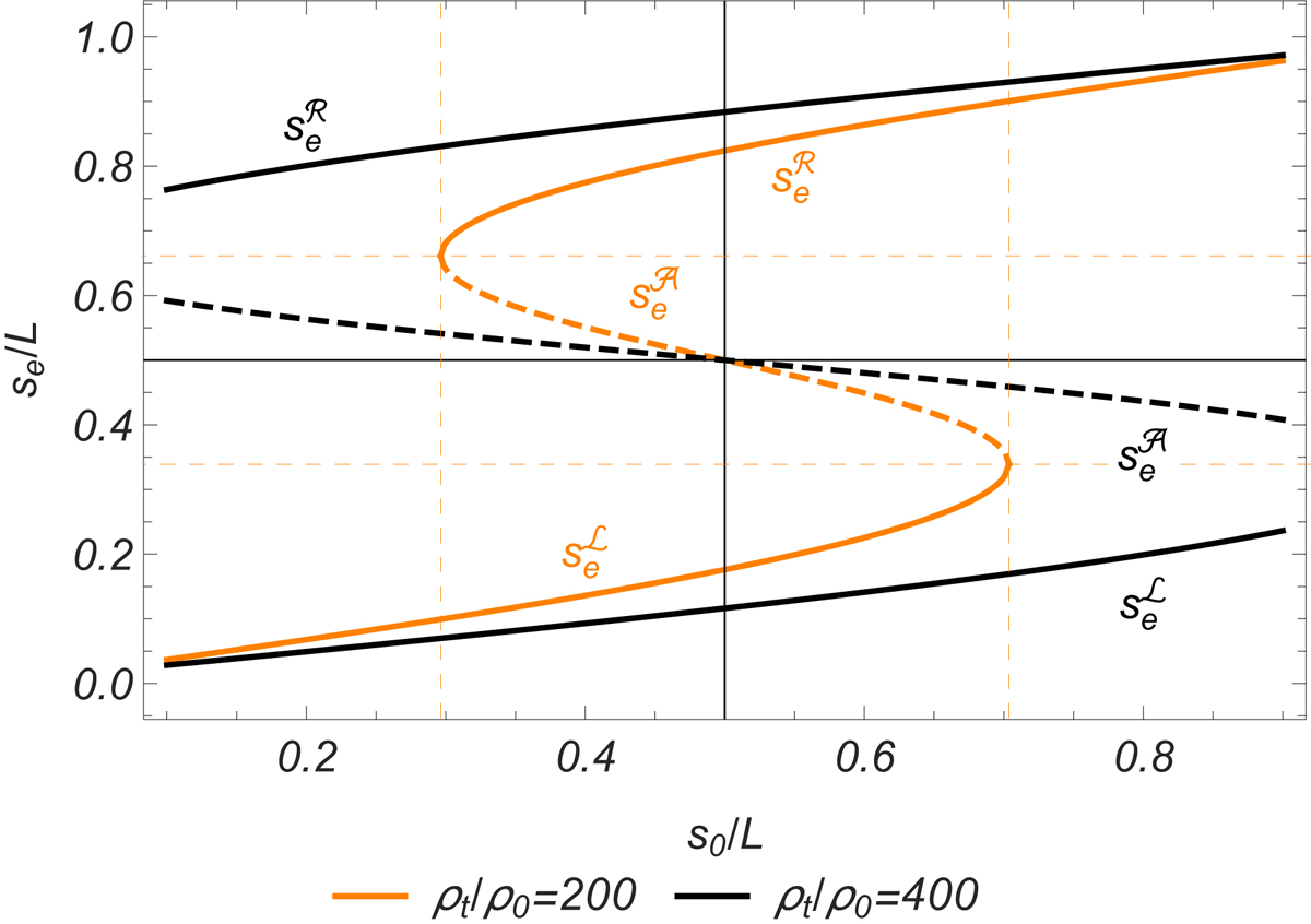
Fig. 6.
 
      Solutions se of Eq. (23) as a function of s0/L for ρt/ρ0 = 200 (orange lines) and ρt/ρ0 = 400 (black lines). The expression L = 10 H and lt = 0.2 H. The curves correspond to  and
 and  (solid lines) and
 (solid lines) and  (dashed line). The bifurcation points around s0/L = 0.3 and s0/L = 0.7 (intersections between vertical and horizontal orange dashed lines) have been calculated by solving Eqs. (23) and (24) simultaneously.
 (dashed line). The bifurcation points around s0/L = 0.3 and s0/L = 0.7 (intersections between vertical and horizontal orange dashed lines) have been calculated by solving Eqs. (23) and (24) simultaneously.
Current usage metrics show cumulative count of Article Views (full-text article views including HTML views, PDF and ePub downloads, according to the available data) and Abstracts Views on Vision4Press platform.
Data correspond to usage on the plateform after 2015. The current usage metrics is available 48-96 hours after online publication and is updated daily on week days.
Initial download of the metrics may take a while.
