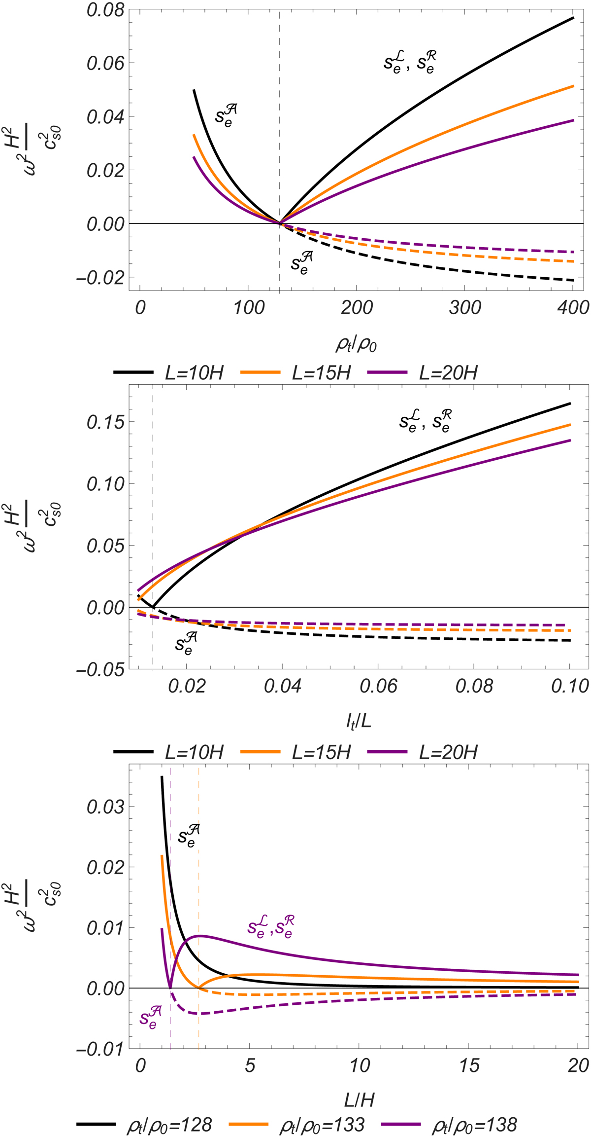
Fig. 7.
 
      ω2 as a function of ρt/ρ0 (top panel), lt/L (middle panel), and L/H (bottom panel) for  (below bifurcation points and lower branch curves, Eq. (31)) and
 (below bifurcation points and lower branch curves, Eq. (31)) and  (upper branch curves; Eq. (40)). In these plots s0 = L/2. lt = 0.1 H in the top and bottom panels and ρt/ρ0 = 100 in the middle panel. The bifurcation values (thin dashed vertical lines) have been calculated using the analytical expressions given by Eqs. (32)–(34).
 (upper branch curves; Eq. (40)). In these plots s0 = L/2. lt = 0.1 H in the top and bottom panels and ρt/ρ0 = 100 in the middle panel. The bifurcation values (thin dashed vertical lines) have been calculated using the analytical expressions given by Eqs. (32)–(34).
Current usage metrics show cumulative count of Article Views (full-text article views including HTML views, PDF and ePub downloads, according to the available data) and Abstracts Views on Vision4Press platform.
Data correspond to usage on the plateform after 2015. The current usage metrics is available 48-96 hours after online publication and is updated daily on week days.
Initial download of the metrics may take a while.
