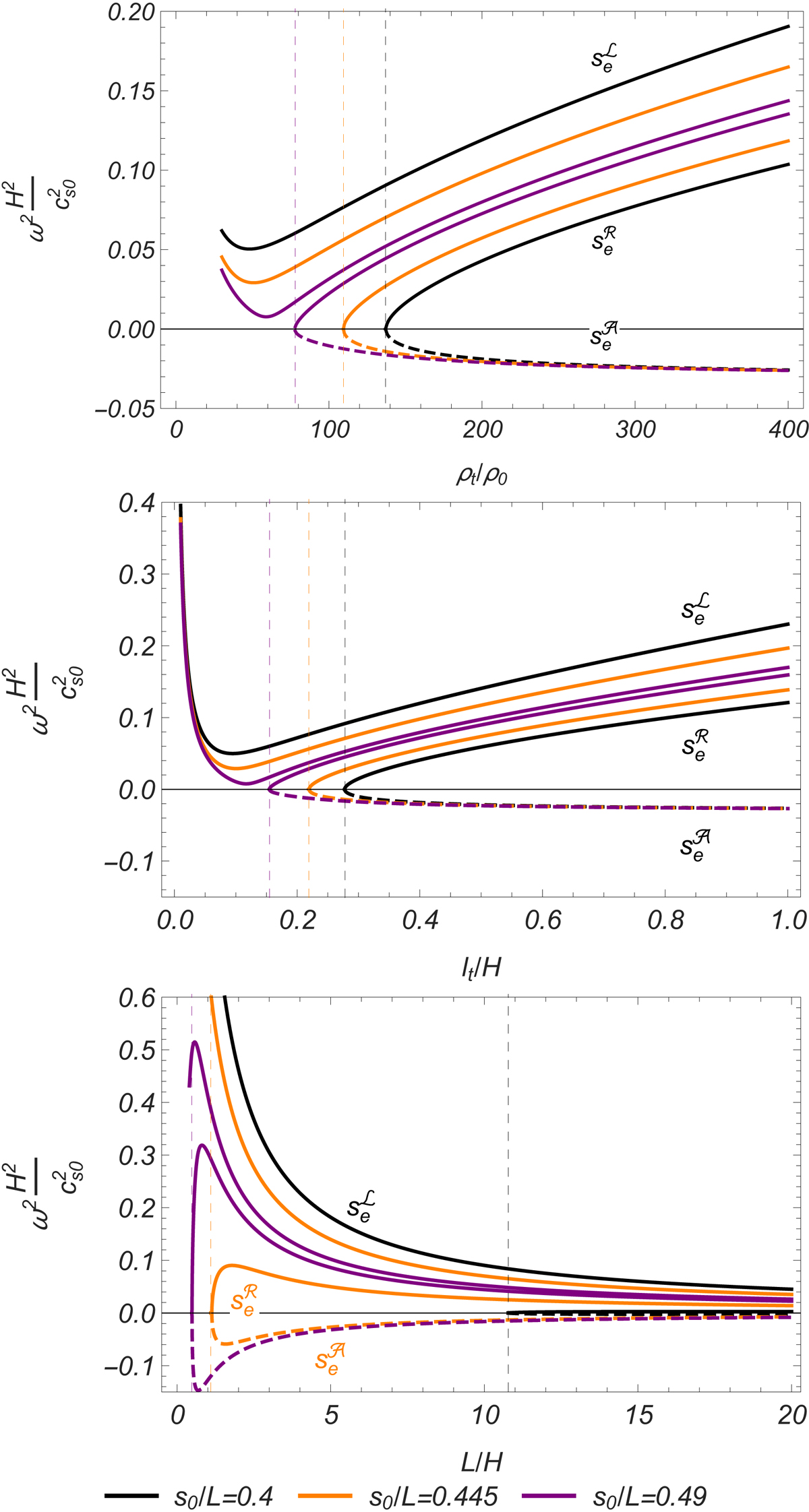
Fig. 8.
 
      ω2 as function of different equilibrium parameters (Eq. (41)) for three different initial positions of the thread, s0. The expression L = 10 H and lt = 0.2 H (top panel), ρt/ρ0 = 100 and L = 10 H (middle panel), and lt = 0.2 H and ρt/ρ0 = 137 (bottom panel). The vertical lines correspond to the bifurcation points and are calculated by imposing that ω2 = 0.
Current usage metrics show cumulative count of Article Views (full-text article views including HTML views, PDF and ePub downloads, according to the available data) and Abstracts Views on Vision4Press platform.
Data correspond to usage on the plateform after 2015. The current usage metrics is available 48-96 hours after online publication and is updated daily on week days.
Initial download of the metrics may take a while.
