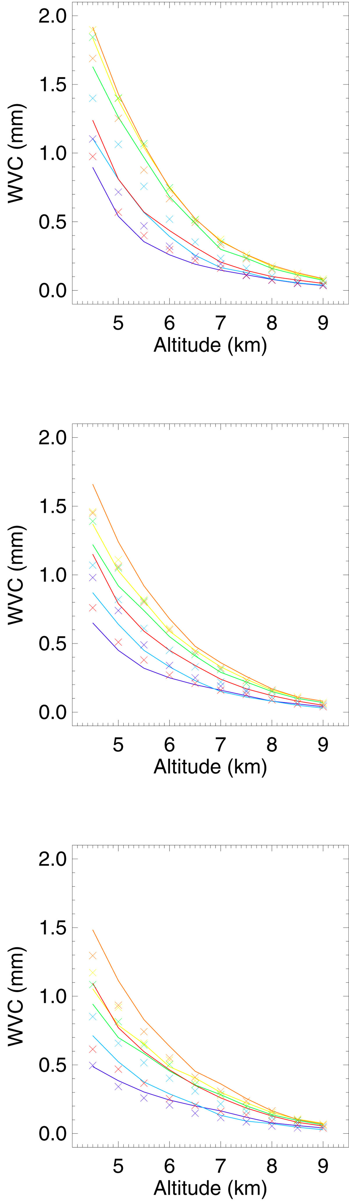
Fig. 4.
 
      Altitude profiles of the WVC averaged for each month based on the entire data set taken at 0 h. The dark blue line is for January, the dark blue crosses for February, the light blue line for March, and the light blue crosses for April. The same type of plot shows the next months, May (line) and June (crosses) in green, July (line) and August (crosses) in yellow, September (line) and October (crosses) in orange, and November (line) and December (crosses) in red. Upper panel: observed for MX, middle panel: as obtained from MX and VR for SNV, and lower panel: observed for VR.
Current usage metrics show cumulative count of Article Views (full-text article views including HTML views, PDF and ePub downloads, according to the available data) and Abstracts Views on Vision4Press platform.
Data correspond to usage on the plateform after 2015. The current usage metrics is available 48-96 hours after online publication and is updated daily on week days.
Initial download of the metrics may take a while.
