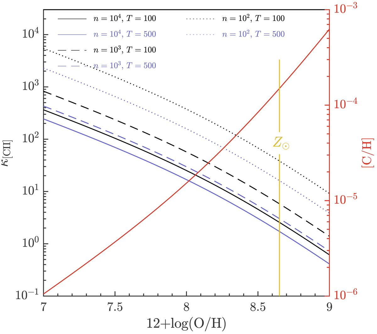
Fig. C.2.
 
      Variation of κ[CII](H0) calculated for six combinations of T and n as a function of metallicity as traced by the oxygen abundance. The vertical yellow line shows the assumed value for solar metallicity (12 + log(O/H) = 8.65; Simón-Díaz & Stasińska 2011). The right ordinate shows in red the dependence on the carbon abundance [C/H] as a function of metallicity from the MAPPINGS code (Nicholls et al. 2017).
Current usage metrics show cumulative count of Article Views (full-text article views including HTML views, PDF and ePub downloads, according to the available data) and Abstracts Views on Vision4Press platform.
Data correspond to usage on the plateform after 2015. The current usage metrics is available 48-96 hours after online publication and is updated daily on week days.
Initial download of the metrics may take a while.
