Fig. A.5

image

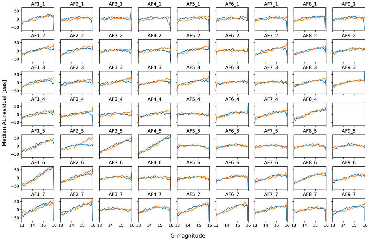
Median AL residual for WC1 vs. G (in the range 13–16) for each of the 62 CCDs in the AF. Blue and orange curves are for the PFoV and FFoV. See Fig. 3 for the labelling of the CCDs. The layout is mirror-reversed compared to Fig. 3.

Current usage metrics show cumulative count of Article Views (full-text article views including HTML views, PDF and ePub downloads, according to the available data) and Abstracts Views on Vision4Press platform.

Data correspond to usage on the plateform after 2015. The current usage metrics is available 48-96 hours after online publication and is updated daily on week days.

Initial download of the metrics may take a while.