Free Access
    
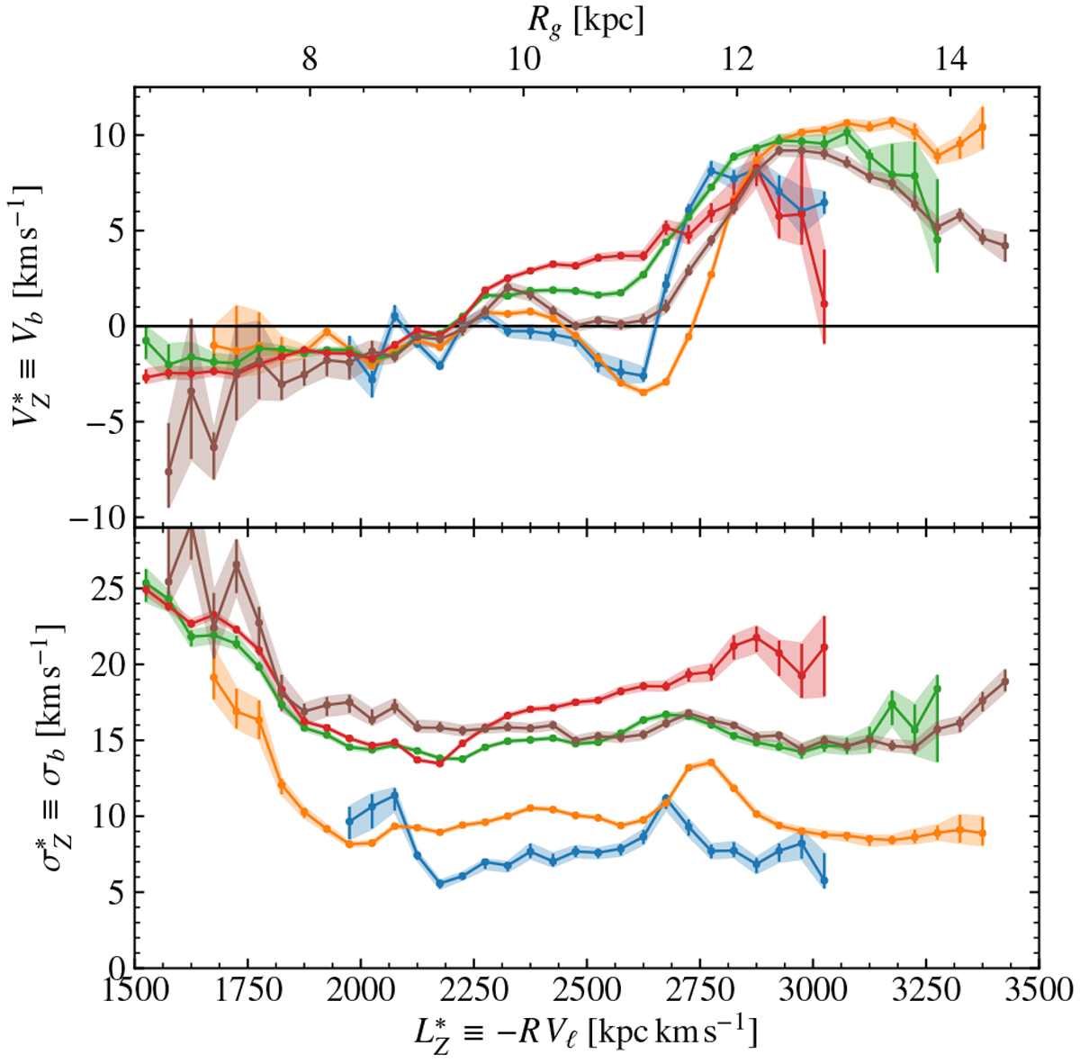
Fig. 11
 
      Vertical velocity profiles as a function of angular momentum. The plot and legend is equivalent to the left panels of Fig. 7 but as a function of
 . To guide the eye, we also show an approximate guiding radius
. To guide the eye, we also show an approximate guiding radius  on the top axis.
on the top axis.
Current usage metrics show cumulative count of Article Views (full-text article views including HTML views, PDF and ePub downloads, according to the available data) and Abstracts Views on Vision4Press platform.
Data correspond to usage on the plateform after 2015. The current usage metrics is available 48-96 hours after online publication and is updated daily on week days.
Initial download of the metrics may take a while.
