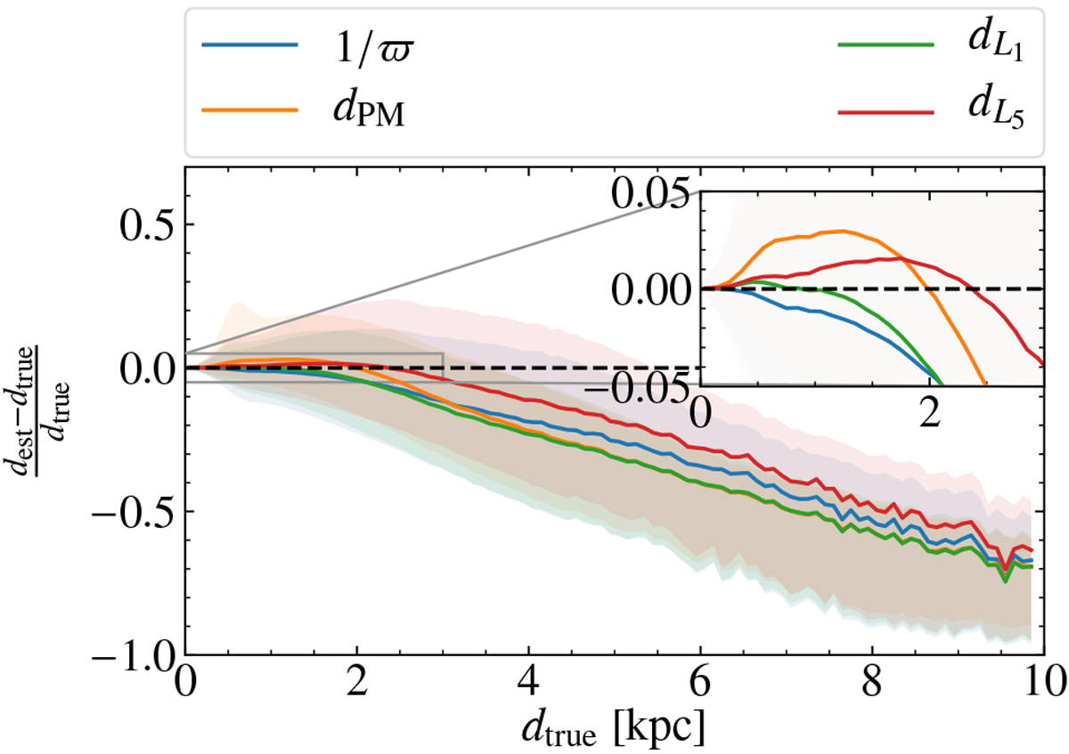
Fig. C.4
 
      Median fractional error in the estimated distance for good quality parallaxes. We show the errors as a function of true distance for different distance estimations as indicated in the labels for stars with ϖ∕σϖ > 3 in the GOG sample. Solid lines indicate the median fractional error and shaded areas show the 25 and 75% quartiles.
Current usage metrics show cumulative count of Article Views (full-text article views including HTML views, PDF and ePub downloads, according to the available data) and Abstracts Views on Vision4Press platform.
Data correspond to usage on the plateform after 2015. The current usage metrics is available 48-96 hours after online publication and is updated daily on week days.
Initial download of the metrics may take a while.
