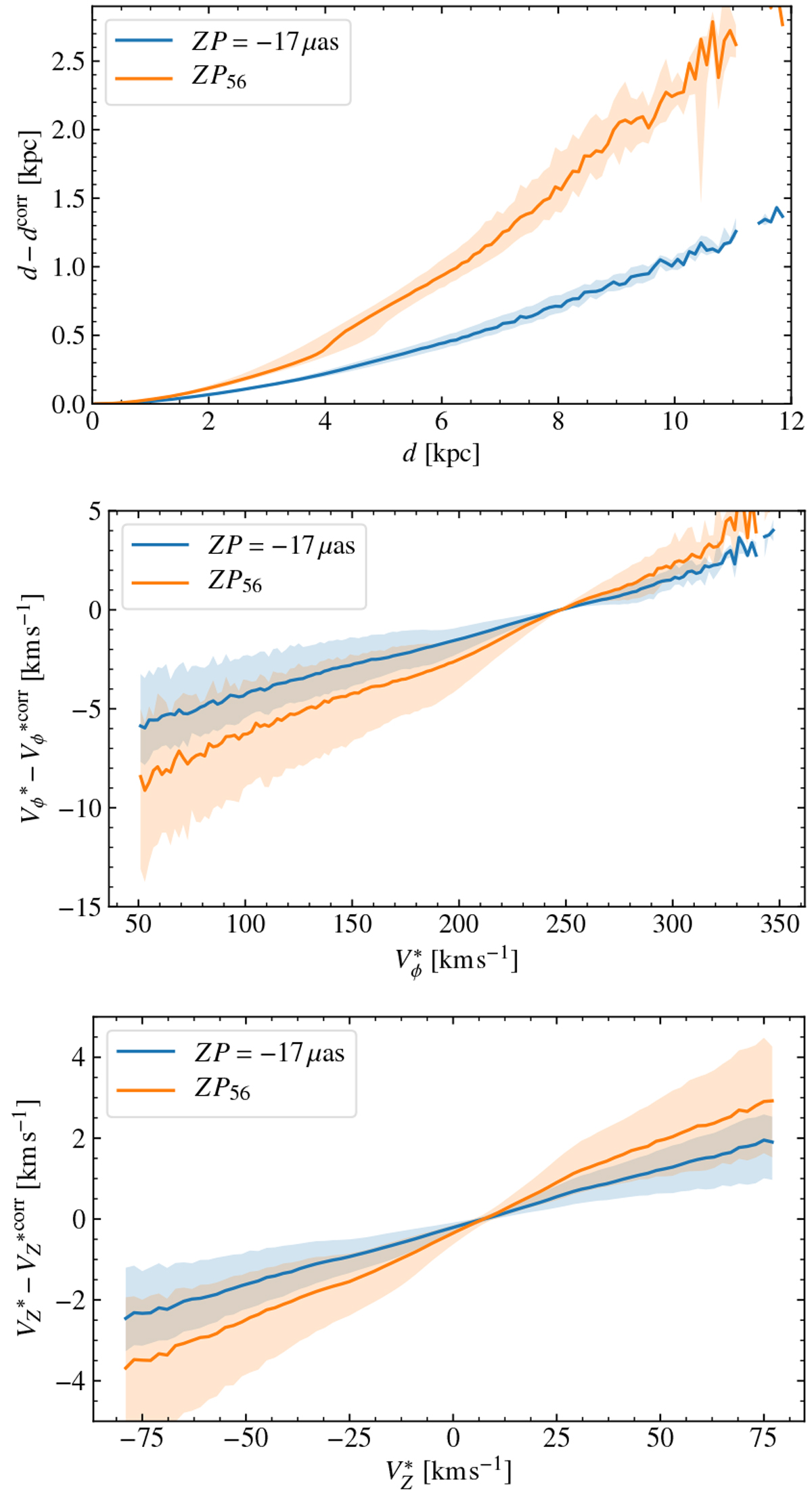
Fig. D.1
 
      Effects of the zero point in parallax on distances and velocities. The comparison is done with respect to the case with the Bayesian distances dPM where the zero point is not considered (x axis) and the shaded areas show the percentiles 10 and 90 (i.e. they enclose 80% of stars). Top panel: we see how not correcting for the zero point produces overestimated distances. The zero point prescription ZP56 reduces even more the distances compared to the case of a fixed zero point ZP = −17 μas. The velocities (middle and bottom) scale linearly with the distance and thus we see the absolute magnitude of the velocities being larger when the zero point is not considered. We see null differences in the case of null proper motion, that is when the velocities equal that of the Local Standard of Rest.
Current usage metrics show cumulative count of Article Views (full-text article views including HTML views, PDF and ePub downloads, according to the available data) and Abstracts Views on Vision4Press platform.
Data correspond to usage on the plateform after 2015. The current usage metrics is available 48-96 hours after online publication and is updated daily on week days.
Initial download of the metrics may take a while.
