Free Access
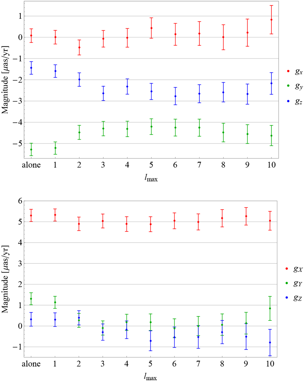
Fig. 7
Equatorial (upper panel) and galactic (lower panel) components of the solar system acceleration for fits with different maximal VSH order lmax (‘alone’ means that the three glide components were fitted with no other VSH terms). The error bars represent ± 1σ uncertainties.
Current usage metrics show cumulative count of Article Views (full-text article views including HTML views, PDF and ePub downloads, according to the available data) and Abstracts Views on Vision4Press platform.
Data correspond to usage on the plateform after 2015. The current usage metrics is available 48-96 hours after online publication and is updated daily on week days.
Initial download of the metrics may take a while.