Free Access
    
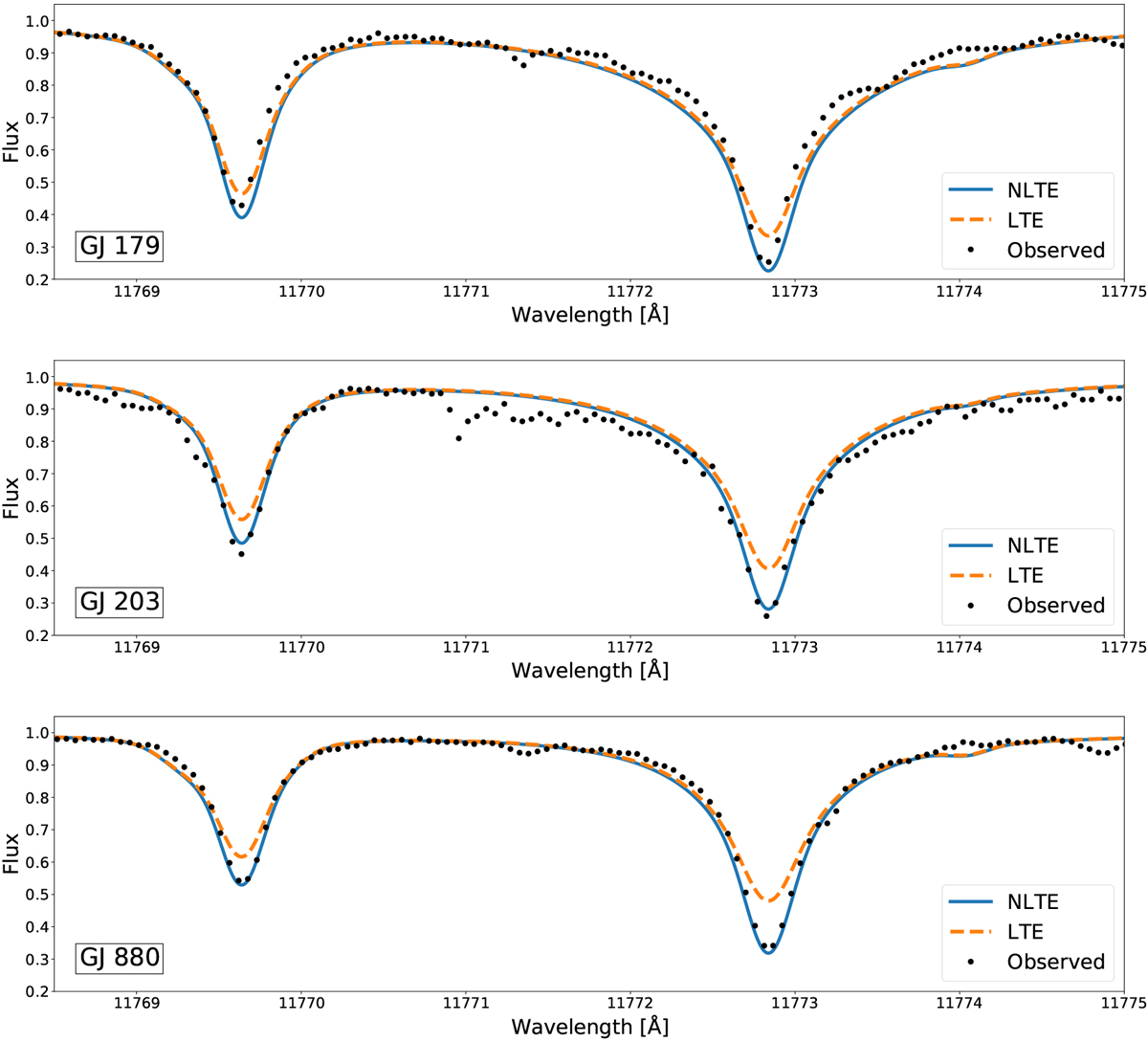
Fig. 4
 
      Synthetic spectra showing two K lines generated with parameters for GJ 179, GJ 203, and GJ 880 by L2017 in LTE and non-LTE (NLTE) (dashed orange and solid blue lines, respectively). The black points shows the observed spectrum for reference. The observed spectrum for GJ 203 has a lower S/N than the other observed spectra.
Current usage metrics show cumulative count of Article Views (full-text article views including HTML views, PDF and ePub downloads, according to the available data) and Abstracts Views on Vision4Press platform.
Data correspond to usage on the plateform after 2015. The current usage metrics is available 48-96 hours after online publication and is updated daily on week days.
Initial download of the metrics may take a while.
