Free Access

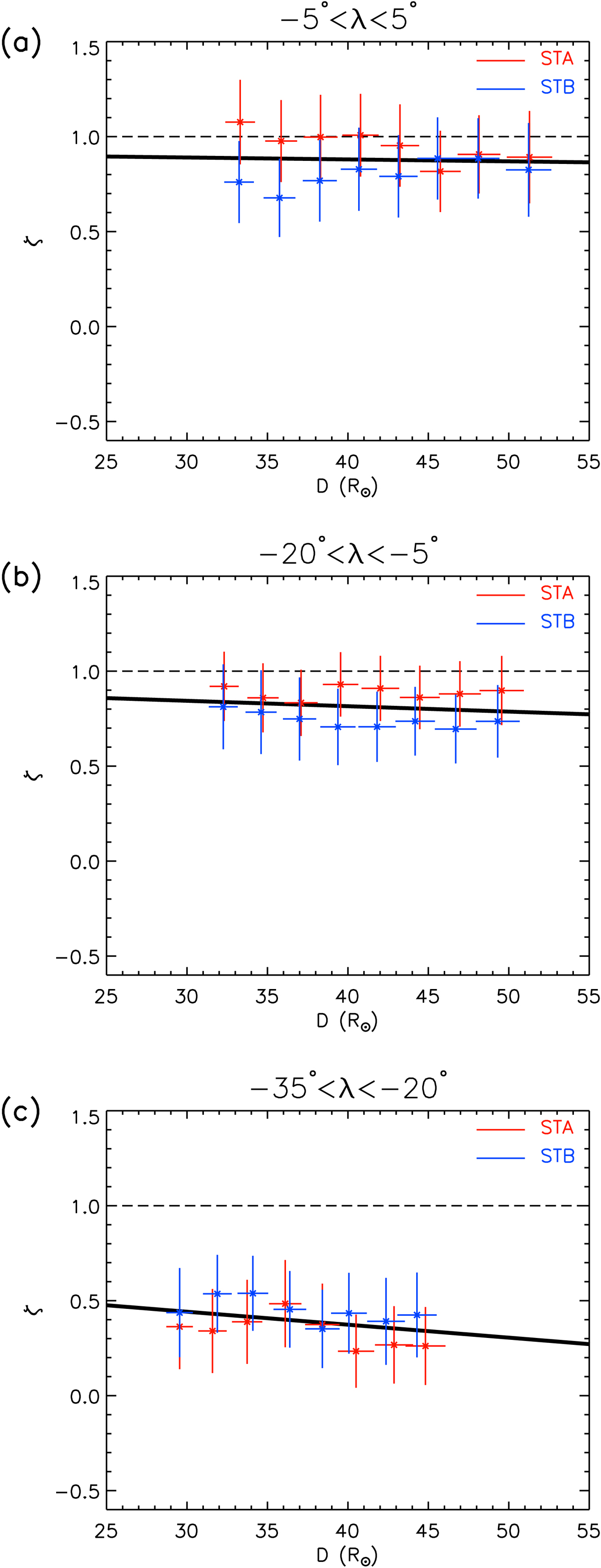
Fig. 8.

image

Dimensionless expansion rate (ζ) vs. heliocentric distance (D) for the northern part (−5° < λ < 5°), middle part (−20° < λ < −5°), and southern part (−35° < λ < −20°) of the CME ejecta, respectively, between 18:09 UT and 22:49 UT on 3 April 2010, where λ is the latitude in the HEE coordinates. The red and blue crosses with the horizontal and vertical error bars correspond to STEREO-A/B, while the thick solid black line is the linear fitting of the data points. The dashed line shows the value of ζ equal to 1.

Current usage metrics show cumulative count of Article Views (full-text article views including HTML views, PDF and ePub downloads, according to the available data) and Abstracts Views on Vision4Press platform.

Data correspond to usage on the plateform after 2015. The current usage metrics is available 48-96 hours after online publication and is updated daily on week days.

Initial download of the metrics may take a while.