Highlight
Open Access

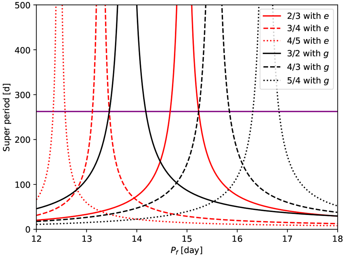
Fig. C.1

image

Super-period of planet f with respect to e (in red) and g (in black) for a set of first-order MMRs. The purple line indicates the value of the super-period (260 day) between the other pairs of the chain. Only two possible periods allowed planet f to be part of the resonant chain, which correspond to the near-intersection of the right-hand side of a red curve, the left-hand side of a black curve, and the horizontal purple line.

Current usage metrics show cumulative count of Article Views (full-text article views including HTML views, PDF and ePub downloads, according to the available data) and Abstracts Views on Vision4Press platform.

Data correspond to usage on the plateform after 2015. The current usage metrics is available 48-96 hours after online publication and is updated daily on week days.

Initial download of the metrics may take a while.