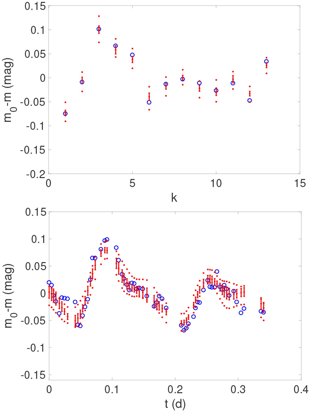
Fig. 1
 
      Photometric light curves for asteroid (376) Geometria. The Gaia light curve is in the upper figure and a ground-based light curve #1 is in the bottom figure (blue circles). Red crosses stand for the best-fit convex model light curves with the 1σ uncertainties (red bars), and red points are the uncertainty envelopes using 5000 MCMC sample solutions. t and k describe the time and light curve observation count, and m0−m is the relative magnitude, where m0 = 0.
Current usage metrics show cumulative count of Article Views (full-text article views including HTML views, PDF and ePub downloads, according to the available data) and Abstracts Views on Vision4Press platform.
Data correspond to usage on the plateform after 2015. The current usage metrics is available 48-96 hours after online publication and is updated daily on week days.
Initial download of the metrics may take a while.
