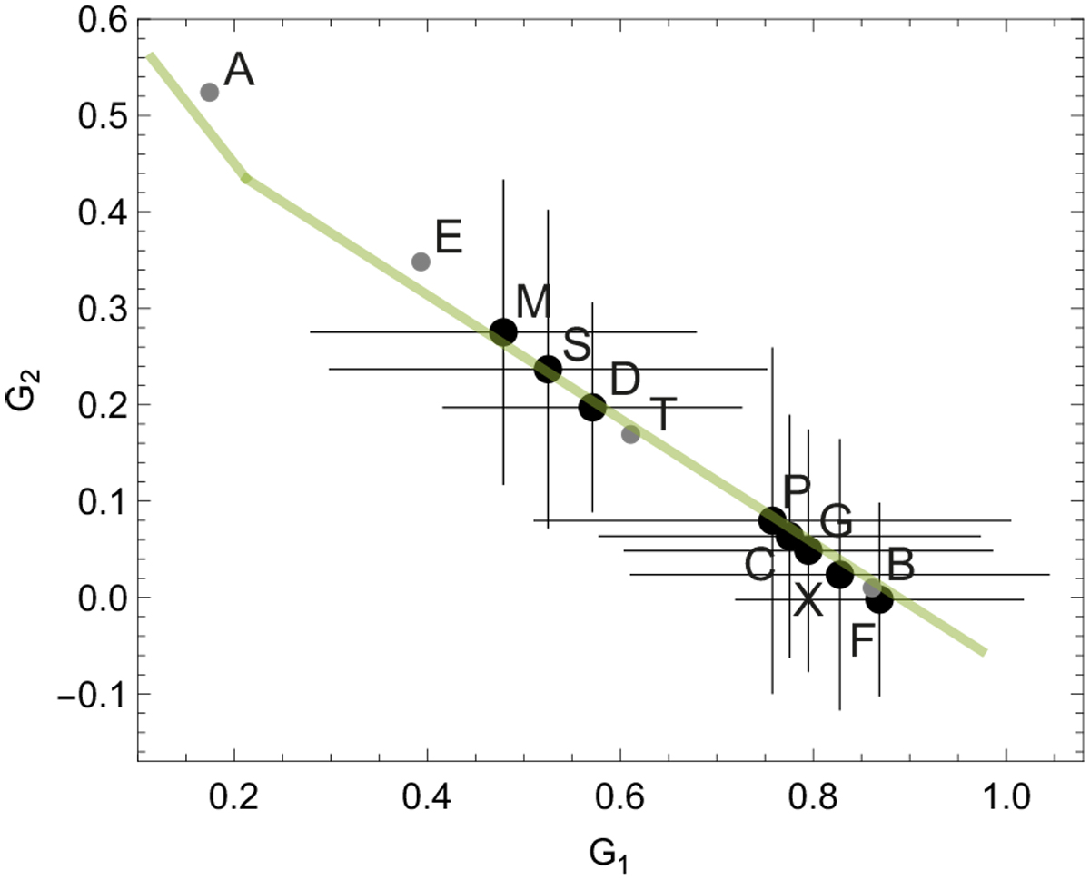
Fig. 6
 
      The distributions of the different Tholen classes (black dots) and the uncertainties within the classes (black crosses) in the G1 and G2 parameter space based on the reference phase curves. The grey dots represent single asteroids and the green line shows how the G12 parameter maps into G1 and G2 in the H, G12 magnitude system.
Current usage metrics show cumulative count of Article Views (full-text article views including HTML views, PDF and ePub downloads, according to the available data) and Abstracts Views on Vision4Press platform.
Data correspond to usage on the plateform after 2015. The current usage metrics is available 48-96 hours after online publication and is updated daily on week days.
Initial download of the metrics may take a while.
