Free Access
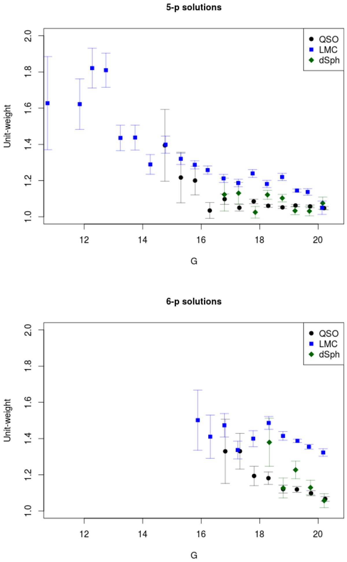
Fig. 19
Unit-weight uncertainty (uwu) that needs to be applied to the Gaia parallax uncertainties to be consistent with the residual distribution (after zero point correction and removing stars with ruwe < 1.4) versus LQRF QSOs, LMC, and dSph stars for the 5p (top) and 6p (bottom) solutions, as a function of magnitude.
Current usage metrics show cumulative count of Article Views (full-text article views including HTML views, PDF and ePub downloads, according to the available data) and Abstracts Views on Vision4Press platform.
Data correspond to usage on the plateform after 2015. The current usage metrics is available 48-96 hours after online publication and is updated daily on week days.
Initial download of the metrics may take a while.