Free Access
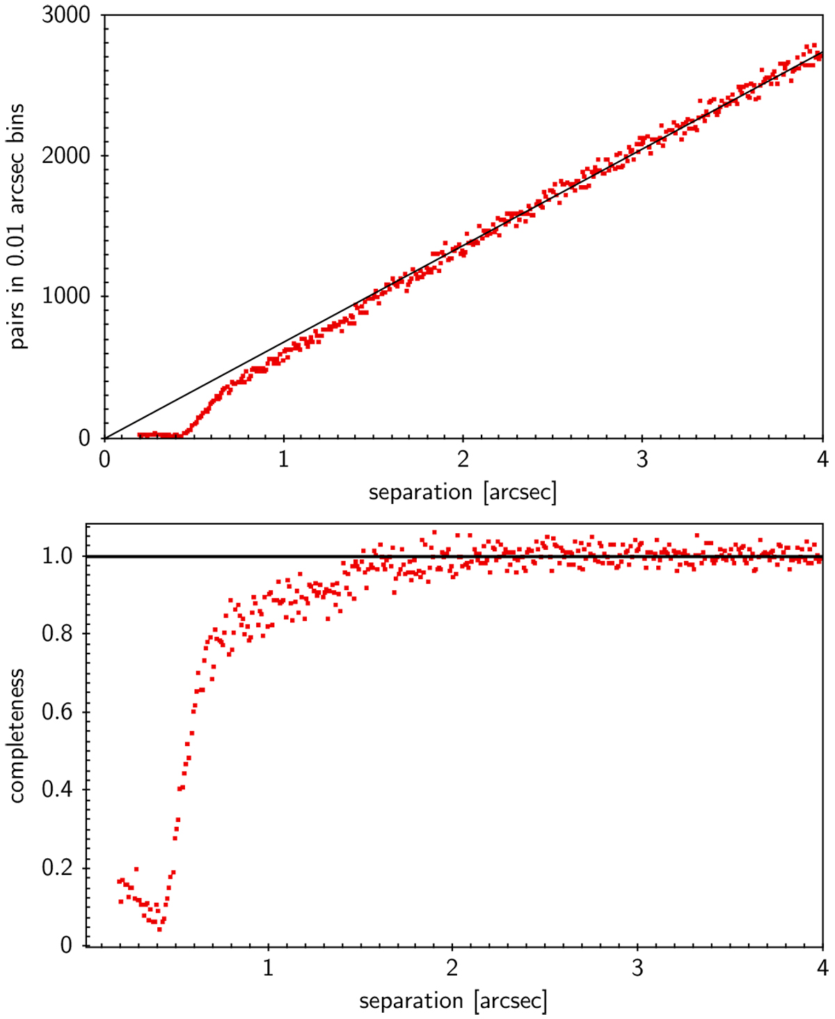
Fig. 7
Top: histogram of source pair distances in a circular field of radius 0.5° centred at (l, b) = (330°, −4°) with a line showing the expected relation for a random distribution of the sources. Bottom: normalised histogram using the expected relation.
Current usage metrics show cumulative count of Article Views (full-text article views including HTML views, PDF and ePub downloads, according to the available data) and Abstracts Views on Vision4Press platform.
Data correspond to usage on the plateform after 2015. The current usage metrics is available 48-96 hours after online publication and is updated daily on week days.
Initial download of the metrics may take a while.