Highlight
Open Access

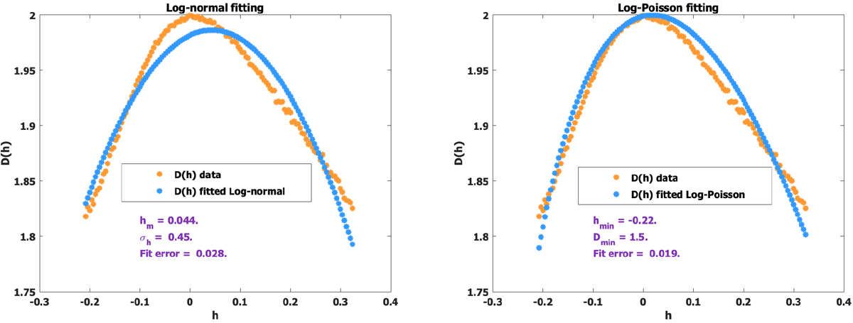
Fig. 23

image

log-normal and log -Poisson fitting of Musca singularity spectrum. Left: singularity spectrum of the filtered (λ = 0.7) Musca 250 μm observational map (in orange) fitted against a log-normal parabolic spectrum (blue) defined by Eq. (9). The fit is performed using the quasi-Newton minimization algorithm implementation available in Matlab. Right: singularity spectrum of the filtered (λ = 0.7) Musca 250 μm observational map (in orange) fitted against a log-Poisson singularity spectrum (blue) defined by Eq. (10). The minimization algorithm is the same. Both images display the values found by the minimization algorithm and the error fit.

Current usage metrics show cumulative count of Article Views (full-text article views including HTML views, PDF and ePub downloads, according to the available data) and Abstracts Views on Vision4Press platform.

Data correspond to usage on the plateform after 2015. The current usage metrics is available 48-96 hours after online publication and is updated daily on week days.

Initial download of the metrics may take a while.