Free Access

Fig. 2.

image

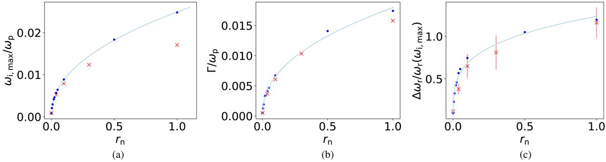
Influence of the beam density on the wave growth and fractional bandwidths, investigated by varying the beam-to-background density ratio rn from 10−4 to 1: Panel a: maximum growth rates ωi for different beam-to-background density ratios rn obtained by solving the linear dispersion relation (dots) and from simulations (crosses) with fit function (solid line). Panel b: integrated growth rates calculated from numerical solutions of the dispersion relation (dots) and from simulation results (crosses) with fit function (solid line). Panel c: fractional bandwidth Δωr at the point where ωi is at its maximum, normalised to the corresponding real part of the frequency ωr, obtained by linear theory (dots) and simulation (crosses). All three figures are for ρ0 = ρ1 = 1 and γb = 26. Details regarding the fit functions can be found in Table 1.

Current usage metrics show cumulative count of Article Views (full-text article views including HTML views, PDF and ePub downloads, according to the available data) and Abstracts Views on Vision4Press platform.

Data correspond to usage on the plateform after 2015. The current usage metrics is available 48-96 hours after online publication and is updated daily on week days.

Initial download of the metrics may take a while.