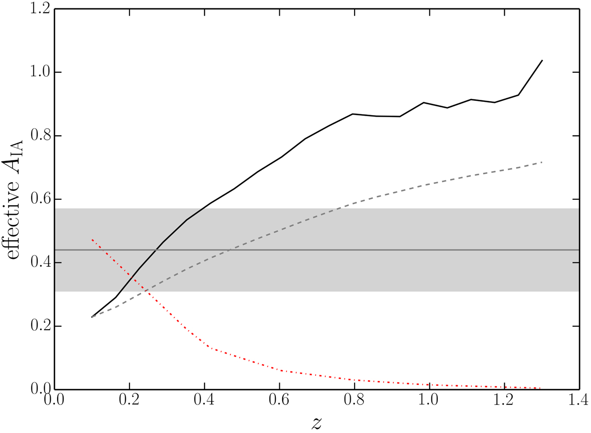
Fig. A.1.
 
      Effective amplitude of the large scale intrinsic alignment signal as predicted by model (ii) from Fortuna et al. (2021) (solid black line). The grey dashed lines shows the corresponding cumulative mean amplitude. Cosmological parameter inference with a constant IA amplitude will result in a low amplitude (grey region; see text for more details), because the relative importance of the IA signal over the cosmic shear signal is higher at low redshift (as indicated by the dashed red line).
Current usage metrics show cumulative count of Article Views (full-text article views including HTML views, PDF and ePub downloads, according to the available data) and Abstracts Views on Vision4Press platform.
Data correspond to usage on the plateform after 2015. The current usage metrics is available 48-96 hours after online publication and is updated daily on week days.
Initial download of the metrics may take a while.
