Free Access
    
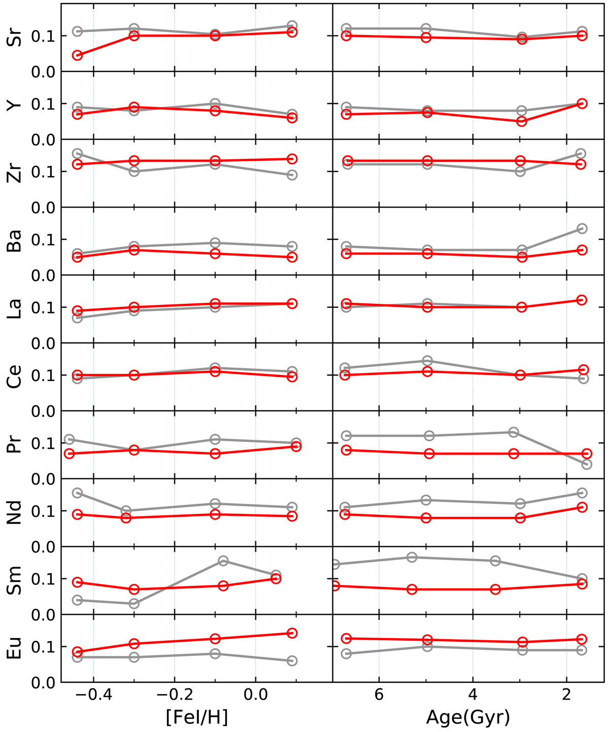
Fig. 3.
 
      Observed rms scatter around the median [El/Fe] abundance (grey lines) and expected uncertainties (red lines) in four metallicity and age bins (thin vertical lines). The open circles at every bin are placed at the median value of the [Fe/H] or age of the corresponding bin.
Current usage metrics show cumulative count of Article Views (full-text article views including HTML views, PDF and ePub downloads, according to the available data) and Abstracts Views on Vision4Press platform.
Data correspond to usage on the plateform after 2015. The current usage metrics is available 48-96 hours after online publication and is updated daily on week days.
Initial download of the metrics may take a while.
