Free Access

Fig. 3

image

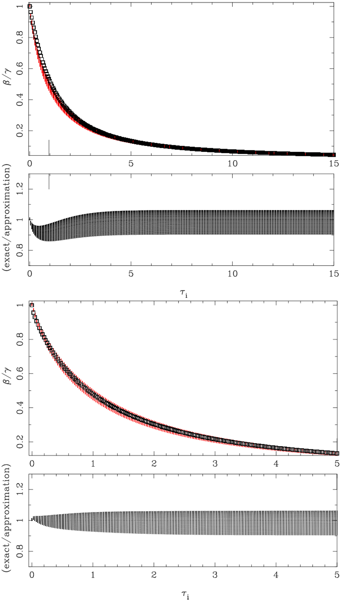
Same as Fig. 2, but with τc limited to <2.5 (the top two panels). The calculations in the bottom two panels show the results with the Δ term included (Eq. (6)), which make the ratio of exact calculation to approximation more symmetric around unity.

Current usage metrics show cumulative count of Article Views (full-text article views including HTML views, PDF and ePub downloads, according to the available data) and Abstracts Views on Vision4Press platform.

Data correspond to usage on the plateform after 2015. The current usage metrics is available 48-96 hours after online publication and is updated daily on week days.

Initial download of the metrics may take a while.