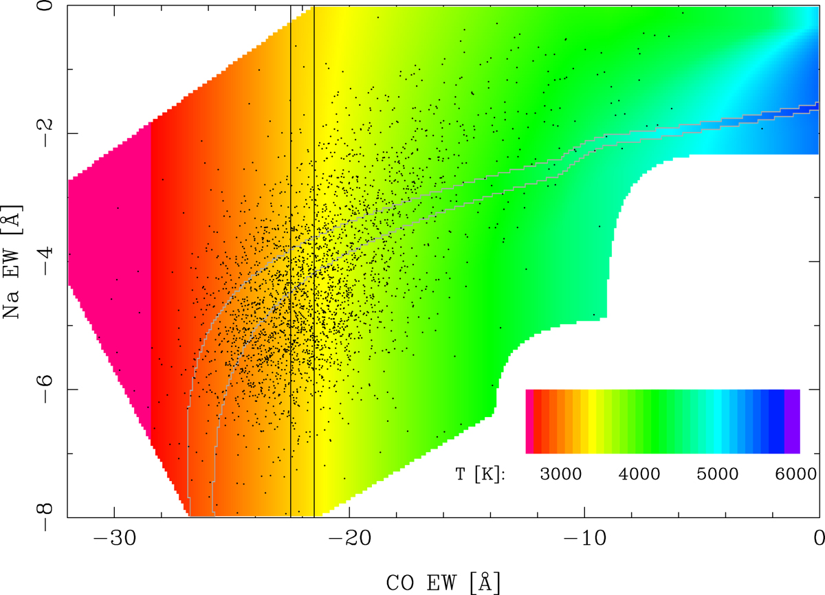
Fig. 11.
 
      Temperature calibration for stars with CO absorption. For CO EW larger than −21.5 Å, the equations of Mármol-Queraltó et al. (2008) are used. These equations use our [Fe/H] determination. Below −22.5 the calibration by Feldmeier-Krause et al. (2017), corrected for the offset between the two, is used. Between these values (indicated by the two black lines) there is a linear transition between the two relations. The diagonal strip shows the uncorrected relation by Feldmeier-Krause et al. (2017). It is plotted for |[Fe/H]| < 0.075. The color scales saturate outside of 2600 K and 5800 K. The dots show our KMOS targets with S/N > 30.
Current usage metrics show cumulative count of Article Views (full-text article views including HTML views, PDF and ePub downloads, according to the available data) and Abstracts Views on Vision4Press platform.
Data correspond to usage on the plateform after 2015. The current usage metrics is available 48-96 hours after online publication and is updated daily on week days.
Initial download of the metrics may take a while.
