Free Access

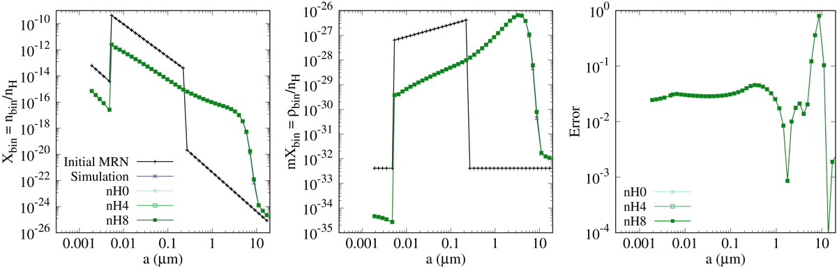
Fig. 1.

image

Fractional abundances X(a) = n(a)/nH (left panel) and fractional mass ρ(a)/nH of grain bins for the cases listed in Table 1. The black line represents the initial (MRN) distribution, while the other lines give the distribution at χ = 8.12 × 1017 cgs. The right panel shows the relative error of the constant density cases nH0, nH4, and nH8 (indistinguishable to machine precision) compared to the simulation Sim.

Current usage metrics show cumulative count of Article Views (full-text article views including HTML views, PDF and ePub downloads, according to the available data) and Abstracts Views on Vision4Press platform.

Data correspond to usage on the plateform after 2015. The current usage metrics is available 48-96 hours after online publication and is updated daily on week days.

Initial download of the metrics may take a while.