Free Access

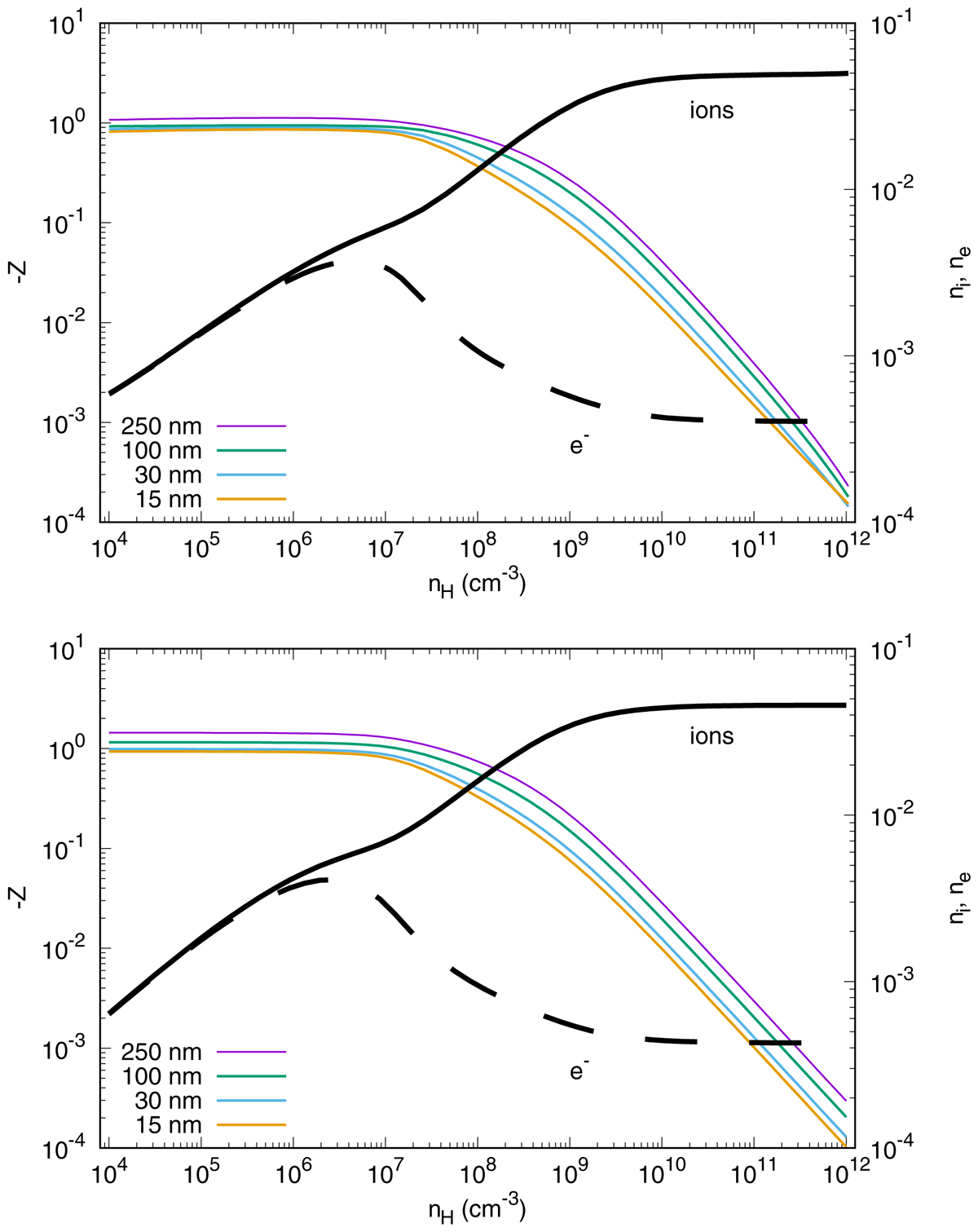
Fig. 2.

image

Evolution of the average charge of grains (colored lines, left axis) and the density of ions and electrons (solid and dashed black lines, right axis) as a function of density. Comparison between Dustdap (top panel) and the method presented in this work (bottom panel).

Current usage metrics show cumulative count of Article Views (full-text article views including HTML views, PDF and ePub downloads, according to the available data) and Abstracts Views on Vision4Press platform.

Data correspond to usage on the plateform after 2015. The current usage metrics is available 48-96 hours after online publication and is updated daily on week days.

Initial download of the metrics may take a while.