Free Access
    
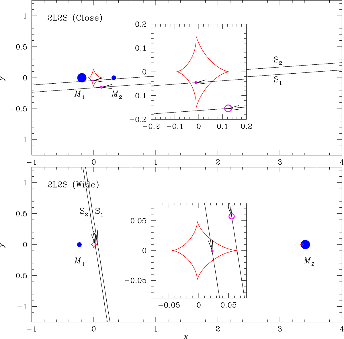
Fig. 4.
 
      Lens system configuration of the 2L2S model. Notations are same as those in Fig. 3 except that there is an additional source trajectory of the second source, S2.
Current usage metrics show cumulative count of Article Views (full-text article views including HTML views, PDF and ePub downloads, according to the available data) and Abstracts Views on Vision4Press platform.
Data correspond to usage on the plateform after 2015. The current usage metrics is available 48-96 hours after online publication and is updated daily on week days.
Initial download of the metrics may take a while.
