Free Access

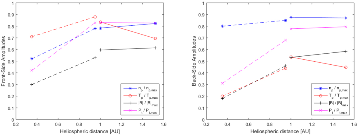
Fig. 13.

image

Amplitude (difference between minimum and maximum values) of the normalized SW parameters (given in the legend) taken across before zero epoch (front; left panel) and across after zero epoch (back; right panel) of the SEA profiles. Values for the distances 0.35 and 0.95 AU are taken from the study by Richter & Luttrell (1986).

Current usage metrics show cumulative count of Article Views (full-text article views including HTML views, PDF and ePub downloads, according to the available data) and Abstracts Views on Vision4Press platform.

Data correspond to usage on the plateform after 2015. The current usage metrics is available 48-96 hours after online publication and is updated daily on week days.

Initial download of the metrics may take a while.