Free Access

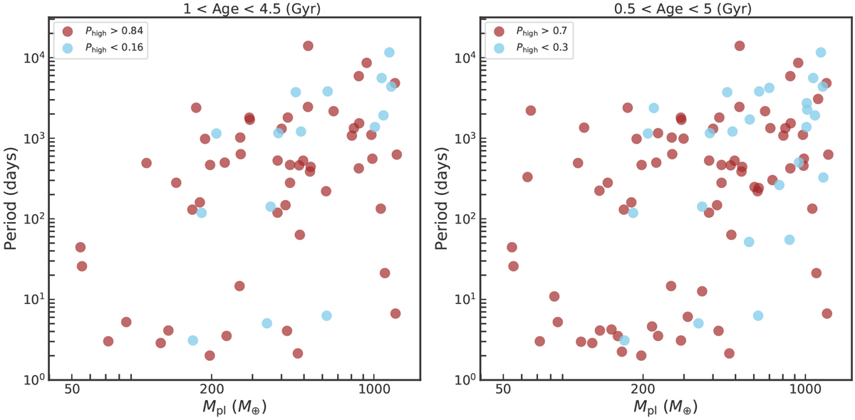
Fig. 1

image

Distribution of the RV detected planets on the period-mass diagram orbiting around FGK dwarf stars with homogeneously derived stellar parameters in SWEET-Cat. The left panel is for the FGKPlow,high sample and the right panel is for the planets in the expended sample.

Current usage metrics show cumulative count of Article Views (full-text article views including HTML views, PDF and ePub downloads, according to the available data) and Abstracts Views on Vision4Press platform.

Data correspond to usage on the plateform after 2015. The current usage metrics is available 48-96 hours after online publication and is updated daily on week days.

Initial download of the metrics may take a while.