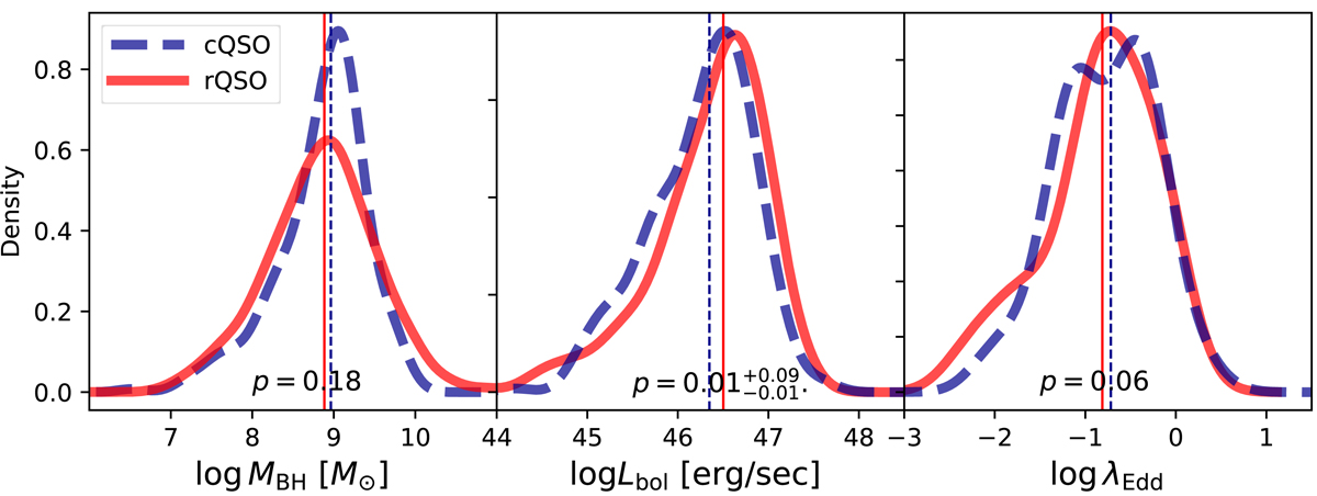
Fig. 6.
 
      Distributions of black hole mass estimates (MBH), reddening-corrected bolometric luminosities Lbol and Eddington ratios λEdd for the control and red QSO samples. Only MBH estimates from spectra with quality tag 0 are considered, which comprise 90% of our entire sample. A Gaussian kernel-density estimator (KDE) with a bandwidth of 0.3 is used to display these distributions. With exception of the differences in the bolometric luminosity distributions, where significance is weak, no significant differences are found between the red and the control QSOs in these parameters. The significance of the difference between the two distributions (KS-test p-value) is reported below. The p-values were computed using the estimates reported by Rakshit et al. (2020) (MBH and λEdd), and using the bootstrapped KS-test for the Lbol, where the posterior distributions from the MCMC-based SED fitting are compared and therefore uncertainties could be calculated.
Current usage metrics show cumulative count of Article Views (full-text article views including HTML views, PDF and ePub downloads, according to the available data) and Abstracts Views on Vision4Press platform.
Data correspond to usage on the plateform after 2015. The current usage metrics is available 48-96 hours after online publication and is updated daily on week days.
Initial download of the metrics may take a while.
