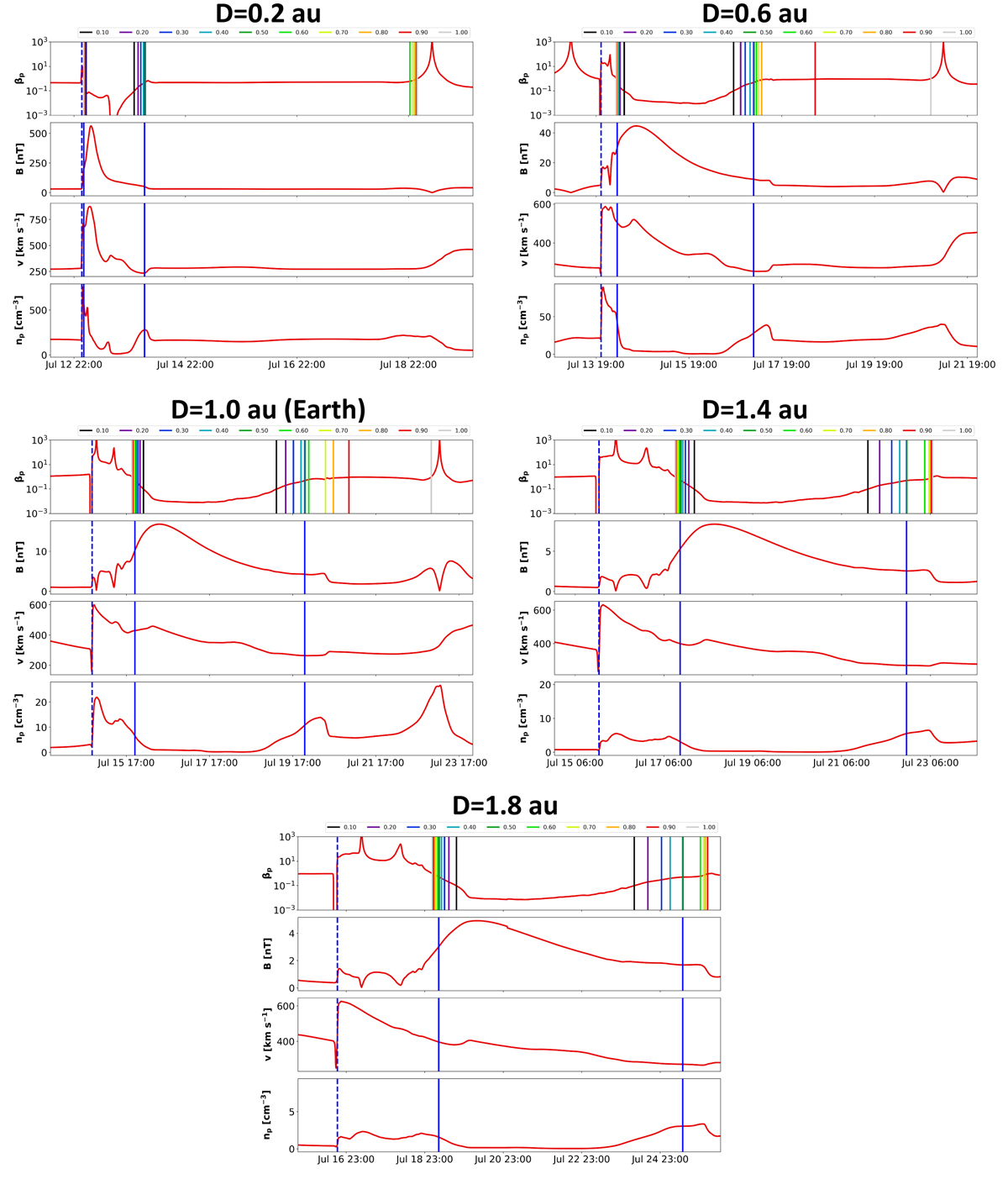
Fig. A.1.
 
      Identification of the CME boundaries in EUHFORIA time series at various heliocentric distances. At each heliocentric distance, the proton, βp, magnetic field intensity, B, speed, v, and proton number density, np, are provided. In all panels, the arrival time of the CME-driven shock is marked by the dashed blue line. Top panel: the boundaries of the magnetic ejecta identified by imposing different βp thresholds are marked by coloured vertical lines, while the ultimate boundaries of the magnetic ejecta obtained by applying the threshold condition βp ≤ 0.5 are marked as continuous blue lines in the second, third, and fourth panels.
Current usage metrics show cumulative count of Article Views (full-text article views including HTML views, PDF and ePub downloads, according to the available data) and Abstracts Views on Vision4Press platform.
Data correspond to usage on the plateform after 2015. The current usage metrics is available 48-96 hours after online publication and is updated daily on week days.
Initial download of the metrics may take a while.
