Open Access
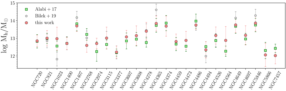
Fig. 8.
 
      Comparison of our estimates of halo masses for early-type galaxies in SLUGGS based on f(J) models (red circles) with those of Alabi et al. (2017), using the TME (green squares), and those of Bílek et al. (2019), based on a Jeans analysis (grey pentagons).
Current usage metrics show cumulative count of Article Views (full-text article views including HTML views, PDF and ePub downloads, according to the available data) and Abstracts Views on Vision4Press platform.
Data correspond to usage on the plateform after 2015. The current usage metrics is available 48-96 hours after online publication and is updated daily on week days.
Initial download of the metrics may take a while.
