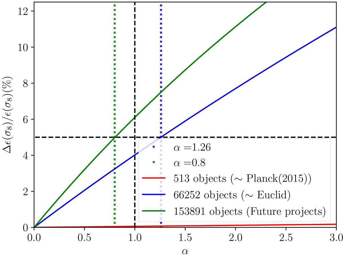
Fig. 6.
 
      Relative variation of the error on σ8 for the three catalogs. The level of precision on the HMF reaches the limit of current knowledge (α → 1) for a Euclid-like catalog (Blue). For the largest catalog (Green), the constraints on the HMF need to be 20% better. This is the result for clusters only; the results for clusters plus Planck 2018 priors are summarized in Table 5.
Current usage metrics show cumulative count of Article Views (full-text article views including HTML views, PDF and ePub downloads, according to the available data) and Abstracts Views on Vision4Press platform.
Data correspond to usage on the plateform after 2015. The current usage metrics is available 48-96 hours after online publication and is updated daily on week days.
Initial download of the metrics may take a while.
