Free Access

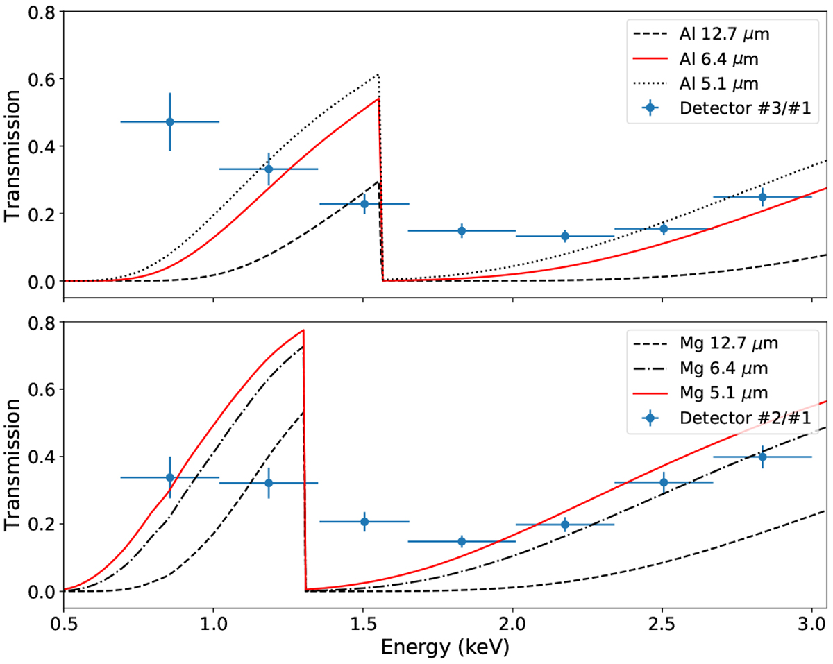
Fig. A.1

image

Transmission of the Al (Detector #3/#1, top) and Mg (Detector #2/#1, bottom) filter when observing Scorpius X-1 during the trans-Earth coast flight of Apollo 15. Filter transmission of Al (top) and Mg (bottom) is given as a function of energy for different thicknesses obtained from http://henke.lbl.gov/optical_constants/ (Henke et al. 1993).

Current usage metrics show cumulative count of Article Views (full-text article views including HTML views, PDF and ePub downloads, according to the available data) and Abstracts Views on Vision4Press platform.

Data correspond to usage on the plateform after 2015. The current usage metrics is available 48-96 hours after online publication and is updated daily on week days.

Initial download of the metrics may take a while.